PSL620S - PSYCHOLOGY OF LEARNING B - 2ND OPP - JAN 2025


PSL620S - PSYCHOLOGY OF LEARNING B - 2ND OPP - JAN 2025



1 Page 1

▲back to top


n Am I BI A u n IVER s ITY
OF SCIEnCE Ano TECHnOLOGY
FACULTYOF COMMERCE,HUMAN SCIENCEAND EDUCATION
DEPARTMENTOF TECHNICALAND VOCATIONALEDUCATIONAND TRAINING
QUALIFICATION: DIPLOMA IN TECHNICALAND VOCATIONAL EDUCATION AND TRAINING:
TRAINER
QUALIFICATIONCODE: 0GDTVT
LEVEL:6
COURSECODE:PSL620S
COURSENAME: PSYCHOLOGYOF LEARNINGB
SESSION:JAN 2025
PAPER: 2
DURATION: 3 HOURS
MARKS: 100
SECONDOPPORTUNITYEXAMINATION QUESTIONPAPER
EXAMINER(S) MS R. QUEST
MODERATOR: DR 0. KACHEPA
INSTRUCTIONS
1. Answer ALL the questions.
2. Read all the questions carefully before answering.
3. Number the answers clearly
THIS QUESTIONPAPERCONSISTSOF _3_ PAGES(Including this front page)

2 Page 2

▲back to top


1. Define learning disability according to The National Disability Council Act (Act No. 26 of 2004)
(4)
2. How does the Ministry of Education in Namibia define school counselling? Provide four facts.
(4)
3. Differentiate between inclusive education and special education.
(4)
4. Noessel (2003) said learner needs can be Cognitive, Social, Affective and Psychomotor. Choose the
appropriate learner's need to correspond with the relevant behaviour.
(8 x 2 = 16)
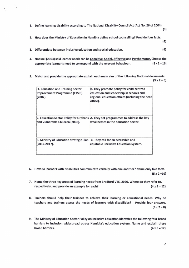
5. Match and provide the appropriate explain each main aim of the following National documents:
(3 X 2 = 6)
1. Education and Training Sector
Improvement Programme (ETSIP)
(2007).
B. They promote policy for child-centred
education and leadership in schools and
regional education offices (including the head
office).
2. Education Sector Policy for Orphans A. They set programmes to address the key
and Vulnerable Children (2008).
weaknesses in the education sector.
13.Ministry of Education Strategic Plan C. They call for an accessible and
(2012-2017).
rquitable InclusiveEducationSystem.
6. How do learners with disabilities communicate verbally with one another? Name only five facts.
(5 X 2 =10)
7. Name the three key areas of learning needs from Bradford VTS,2020. Where do they refer to,
respectively, and provide an example for each?
(4 x 3 = 12)
8. Trainers should help their trainees to achieve their learning or educational needs. Why do
teachers and trainers assess the needs of learners with disabilities? Provide four answers.
(4 X 2 = 8)
9. The Ministry of Education Sector Policy on Inclusive Education identifies the following four broad
barriers to inclusion widespread across Namibia's education system. Name and explain these
broad barriers.
(4 x 3 = 12)
2

3 Page 3

▲back to top


10. Smith, Polloway, Patton and Dowdy (2018) said a learning disability is a cognitive disability.
Provide six (6) types of categories for learners with disabilities.
(6 x 2 =12)
11. Name and explain any four basic counselling and communication skills for trainees with
disabilities.
(4x3=12)
[Total:100]
END OF PAPER
3