SAD622S - SYSTEMS ADMINISTRATION - 1ST OPP - NOV 2024


SAD622S - SYSTEMS ADMINISTRATION - 1ST OPP - NOV 2024



1 Page 1

▲back to top


nAmlBIA unlVERSITY
OF SCIEnCE Ano TECHnOLOGY
FACULTY OF COMPUTING AND INFORMATICS
DEPARTMENT OF COMPUTER SCIENCE
QUALIFICATION:
BACHELOROF COMPUTERSCIENCE
QUALIFICATIONCODE: 07BACS,07BCCS,07BCCY,07BCMS
COURSE:SYSTEMSADMINISTRATION
DATE: NOVEMBER2024
DURATION: 2 HOURS
LEVEL: 6
COURSECODE: SAD622S
SESSION: 1
MARKS: 60 (100%)
EXAMINER(S)
MODERATOR:
FIRSTOPPORTUNITYEXAMINATION QUESTIONPAPER
MR. SHADRECKCHITAURO
MS. ALBERTINASHILONGO
MS. ADELHEIDGEINGOS
MS. LINEEKELASHISHIVENI
MR JOSEPHRUFUMA
MS. HELENAHAINANA
MR. ISAACNHAMU
THIS QUESTIONPAPERCONSISTSOF 7 PAGES
(Excluding this front page)
INSTRUCTIONS
1. Answer all questions.
2. Write all your answers in the answer booklet provided and number every question.
3. Please, ensure that your writing is legible, neat and presentable.
4. Marks/scores per question are given in square brackets [ ].
5. Do not use or bring into the examination venue books, programmable calculators, mobile
devices and other material that may provide you with unfair advantage. Should you be in
possession of one right now, draw the attention of the examination officer or invigilator.
6. All things that should not be marked, e.g. any "rough work", have to be crossed out
unambiguously.

2 Page 2

▲back to top


1. True or False
[10]
(a) You can use an ordinary account to join Windows client to Windows 2012 domain.
(b) In Windows Server 2012 you can use the same name for the NetBIOS name and the
computer name without any problem.
(c) You can share a folder in Windows Server 2012 and make it appear in Windows client's
file explorer as a mapped drive.
(d) As an administrator you can configure a local Windows updates server. This server will
pull updates from Microsoft and update your Windows clients.
(e) The command "more" can be used in Linux and Windows.
(f) The Windows command 'net user' is used to check if an account is disabled or not.
(g) Linus Torvalds is the creator and lead developer of the Linux and Windows kernel.
(h) The dsmove command can work in Windows client and Server.
(i) When configuring Windows Server 2012 as a domain controller you cannot change
the default NetBIOS name suggested by the system.
(j) When setting up your domain controller you cannot change the location of the Active
Directory Domain Services database, log files, and SYSVOL.
2. Multiple Choice
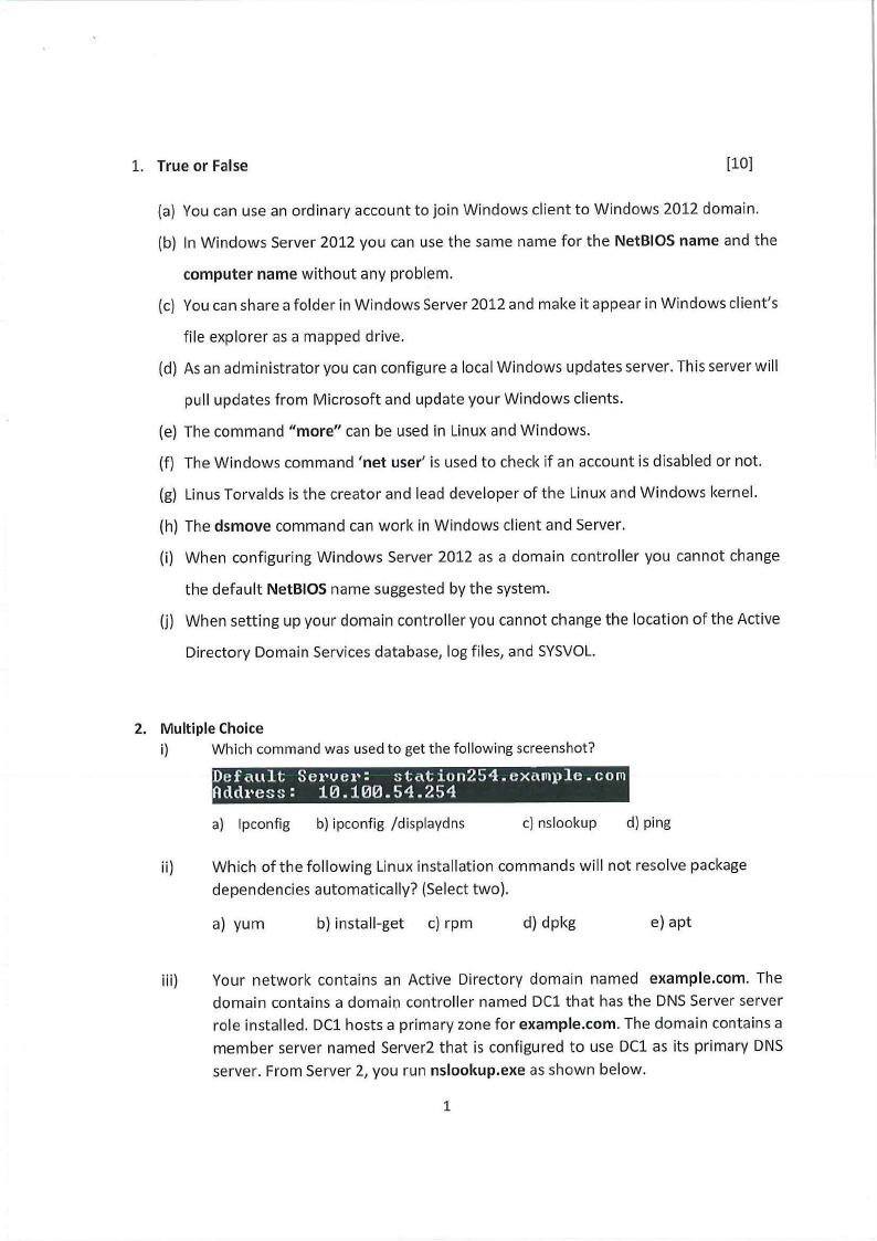
i)
Which command was used to get the following screenshot?
Default Server: station254.example.com
Address: 10.100.54.254
a) lpconfig b) ipconfig /displaydns
c) nslookup
d) ping
ii)
Which of the following Linux installation commands will not resolve package
dependencies automatically? {Select two).
a) yum
b) install-get c) rpm
d) dpkg
e) apt
iii) Your network contains an Active Directory domain named example.com. The
domain contains a domain controller named DC1 that has the DNS Server server
role installed. DC1 hosts a primary zone for example.com. The domain contains a
member server named Server2 that is configured to use DC1 as its primary DNS
server. From Server 2, you run nslookup.exe as shown below.
1

3 Page 3

▲back to top


Administrator:C:\\Windows\\system32\\cm_d.e-x~est0-ok4p
Microsoft Windows[Version 6.3.96001
(c) 2013 Microsoft Corporation. All rights reserved.
C:\\Users\\Administrator>nslookup
DNSrequest timed out.
timeout was 2 seconds.
Default Server: UnKnown
Address: 192.168.0.254
>
You need to ensure that when you run nslookup.exe, the correct name of the
default server is displayed. What should you do?
a) From Advanced TCP/IP Settings on DCl, add example.com to the DNSsuffix list
b) On Server2 add 8.8.8.8 as the primary server
c) On DCl, modify the Security settings of the example.com zone
d) On DCl, create a reverse lookup zone
iv) Your network contains an Active Directory domain example.com. The domain
contains 20 user accounts that reside in an organizational unit (OU) named Staff.
You need to ensure that a user named John can link and unlink Group Policy
objects {GPOs) to Staff. The solution must minimize the number of permissions
assigned to John. What should you do?
a) Add John to the Group Policy Creator Owners group
b) Modify the permission on the\\ \\example.com\\SYSVOL\\example.com\\Policies
folder
c) Modify the permissions on the John account
d) Run the Delegation of Control Wizard on Staff
v)
Your network contains an Active Directory domain named example.com. All
servers run Windows Server 2012 R2.The domain contains a member server
named DCl. DCl has the File Server server role installed. On DCl, you create a
share named SharedDocs. The SharedDocs share will contain the files and
folders of all users. You need to ensure that when the users connect to
SharedDocs, they only see the files to which they have access. What should you
do?
a) Enable access-based enumeration
b) Modify the Share permissions
2

4 Page 4

▲back to top


c) Modify the NTFSpermissions
d) No need to configure anything
e) Configure Dynamic Access Control
vi) You have a print server named PDCl. You install a printer on PDCl. You share the
printer as Printerl. You need to configure Printerl to be available only from
14:00hrs to 17:00hrs every day. Which settings from the properties of Printerl
should you modify?
a) Advanced b) Device Settings c) Security d) General e) Ports f) Time
vii) Your network contains an Active Directory domain named example.com. You
create an account for a temporary employee named saduser.You need to ensure
that sadusercan log on to the domain only between 07:30hrs and 17:30hrs from
a client computer named PCl. From which tab should you perform the
configuration? Refer to the screenshot below.
File Action View Help
r$TtJ [ij]-i o I
sadusePr roperties
MemberOf
Remotecontrol
General Address
Dial-in
Environment
RemoteDesktopServicesProfile
Account Profile Telephones
Sessions
COM+
Organization
saduser
firstname:
!:asnt ame:
Diwlay name:
Q.escription:
Offig_e:
!saduser
!saduser
initials:
a) Account b) Environment
c) General d) Profile
3
e) Address

5 Page 5

▲back to top


3. Short Questions
(a) What do you understand by task-based delegation?
[2]
(b) Give three tasks of a systems administrator
[3]
(c) Refer to the screenshot below from a Windows 8.1/10 and answer the questions
which follow.
-
... Home
,.. t
Sl1are Viel;\\.t I Manage
This.PC Local Disk (C:)
1,~\\?'Favon.tes:
Desktop
.~ Downloads.
']jj, Recent places
Perflogs
1 -~ Program Files
, Program Files (x&6)
jJ Users
i Windows
(i) You can run Windows 8.1/10 32bit or 64bit version. Which Windows version
(32bit/64bit) is installed? Explain your answer.
[2]
(ii) If you download and install vie player 32bit version, which folder will keep
the vie player installation files? Explain.
[2]
(d) In Linux, you can use the Is command to display objects (files and directories) in your
current working directory. The Is -I command will list objects giving more detailed
information. Below is one line extracted from Is -I output. Explain the parts numbered
with 1, 3 and 4.
[6]
1
4
I
@wxr-xr-x
I
Jy~..._l_w__il___-,J(fiJna(4ncoe~6J(Nov
3
4

6 Page 6

▲back to top


(e) With reference to the activities labeled A in the migration activities in the diagram
below, what is prototyping and why is it used?
[4]
Legacy
System -+
,-- Migration
- - - -· - -
1
l
! .-8-a-:-~-lin_e/ _s__,
Plfjnning ,l\\divii:ies
- - ~- - - - - ·- - - - - - ·- I
cJihe
't~ion
ement
lfOact
System
Baseline
1
1
i;;ri
Oli
rati
l'>escntie
P,roach,for
A
igration
nipletioo
I
1_ - -· - - - -· - - - - - - - -· - ·- - - - -· -'
5

7 Page 7

▲back to top


4 Analyse diagram below and answer the questions which follow. The diagram is a screen
shot from a Windows 2012 DNSServer.
~--~-----~--~-------~--
File Action View Help
$ 8>I t1lil x
-ur I rillI a 4&i]
i DNS
fl .t STATION254
.<1L] FoiwardLookupZones
1> _msdcs.cs.net
I>~~
.<1[j ReverseLookupZones
I> 10.168.192,in-addr,arpa
I>U TrustPoints
I> ConditionaFl orwarders
I>UillGJlobalLogs
Name
GJ_msdcs
_sites
Ll _tcp
Ll_udp
[j DomainDnsZones
CJForestDnsZones
(sameas parentfolder)
ii (sameasparentfolder)
(sameas parentfolder)
station254
Win8-Client01
station240
ii webserver
~webserver
Type
Startof Authority(SOA)
NameServer(NS)
Host(A)
Host(A)
Host(A)
Host(A)
Host (A)
Host(A)
~webserver
~web
ii (sameas parentfolder)
Q (sameas parentfolder)
Host (Al
Alias(CNAME)
MailExchange(rMX)
MailExchange(rMX)
--~--- DNSManager
Data
(251s, tation254.cs,neth.,ostmaster,cs,ne
station254,cs,net.
192.168.10.254
192.168.10.254
192.168.10.11
192.168.10.240
192.168.10.200
192.168.10.201
192.168.10.202
station240.cs.net
15] station240,cs.net
(10] station254.cs.net
(i) What is the current serial number on this server? Explain the purpose of the serial
number.
[2]
(ii) From the diagram above we can see that there are 3 IP addresses associated with the
host webserver. Assuming that the company's website is hosted on webserver. State
the advantage of having one name associated with 3 IP addresses.
[1]
(iii) You have been hired as an email server specialist. The client indicated that emails are
going to one server only.
(a) How many email server records are shown from the diagram?
[2]
(b) Which server is the preferred email server and why?
[2]
(c) Following your response in (b) above how do you make sure that emails will prefer
the other server as the preferred one?
[2]
6

8 Page 8

▲back to top


5. Analyse the screen shot from a Windows 2012 domain controller and answer the
questions which follow.
C:\\Docuroents and Settings\\Adroinistrator)dsquery
user
.,CN=Adroinist1•ato1•.,. CN=Use1•s.D,.C=ced.,D. C=ac.,D. C=na.,
"CN=Guest.,.CN=Use1•s.D,.C=ced.,D. C=ac.,D. C=na.,
.,CN=SUPPOR_T388945a0.,. CN=Use1•s.D,.C=ced.,D. C=ac.,D. C=na"
.,CN=k1•btgt.,.CN=Use1•s.D,.C=ced.,D. C=ac.,D. C=na"
C:\\Docuroents and Settings\\Adroinistrator)
(a) You have been hired as a specialist in Windows Server 2012 domain controller. How
many users are registered on the system?
[2]
(b) Using the net user command, you are required to create a user called sad24 as a
domain user with a password PaSSword. You can get the domain name from the
diagram above.
[3]
(c) Analyse the following command and explain why it will give an error if entered on a
domain controller with the screenshot above. Suggest a solution.
[3]
dsadd user "cn=tm,dc=ced,dc=ca,dc=na" -fn "Fulltime" -In "Parttime"
6. Unix Commands
You are employed by a Gold Companyas the new Systems Administrator. One day you
decide to check the commands which were issued before on the server and you find
four consecutive commands shown below:
cd /tmp
mkdir sad622s
cal 6 2024
date
What was the previous Administrator trying to archive with each of the above
commands?
[6]
** End of question paper**
Good Lucky
7