IEM621S - INTEGRATED ENVIRONMENTAL MANAGEMENT - 2ND OPP - JAN 2025


IEM621S - INTEGRATED ENVIRONMENTAL MANAGEMENT - 2ND OPP - JAN 2025



1 Page 1

▲back to top


n Am I BI A u n IVER s I TY
OF SCIEnCE Ano TECHnOLOGY
FACULTYOF ENGINEERINGAND THE BUILTENVIRONMENT
DEPARTMENTOF ARCHITECTUREP, LANNING AND CONSTRUCTION
QUALIFICATION:
BACHELOROF REGIONALAND RURALDEVELOPMENT
QUALIFICATIONCODE: 07BRAR
COURSECODE:
IEM621S
DATE:
JANUARY 2025
LEVEL:
COURSE
NAME:
PAPER:
6
CREDITS:
12
INTEGRATEDENVIRONMENTAL
MANAGEMENT
THEORY
DURATION:
3 HOURS
MARKS:
100
SECONDOPPORTUNITY/ SUPPLEMENTARYEXAMINATION QUESTION PAPER
EXAMINER: Pieter Genis
MODERATOR: Morgan Hauptfleisch
INSTRUCTIONS
1. Read and answer all the questions carefully.
2. Number the answers clearly.
THIS QUESTION PAPERCONSISTSOF 8 PAGES(including this front page)

2 Page 2

▲back to top


Integrated Environmental Management
IEM621S
Question 1:
Select the single CORRECTanswer to each of the following questions. Only write down the
letter, e.g. (a) D.
(a)
Which one of the following is not an aim of integrated environmental management?
A political control
B economic development
C social well-being
D long-term health and integrity of ecosystems
E sustainable development
(b)
In environmental indicator systems, what is the significance of "baseline data"?
A it is another word for impact data
B it provides historical data against which change can be measured
C it measures the immediate response to a policy change
D it indicates the most favourable environmental conditions
E it defines the thresholds for adhering to environmental regulations
(1)
(c)
What is the primary application of spatial analysis and geographic information
systems {GIS)in state of the environment reporting?
A promoting government transparency
B identifying key stakeholders
C visualising environmental data and trends
D advocating for policy changes
E impressing environmental auditors
(1)
(d)
What is the role of the "Environmental Commissioner" in the environmental impact
assessment (EIA) process for development activities in Namibia?
A evaluating the environmental impacts of development activities and grant or deny
environmental permits
B promoting development activities without oversight
C conducting EIAson behalf of the project proponent
D issuing environmental permits for all development activities, whether they have
large environmental impacts or not
E carrying out stakeholders analysis
(1)
(e)
In the context of scoping, what is the significance of "alternatives analysis"?
A evaluating project financing options
B assessingthe economic viability of a project
Supplementary/ 2nd Opportunity
Examination Question
Page 2 of 8
January 2025

3 Page 3

▲back to top


Integrated Environmental Management
IEM621S
C considering and comparing different project designs and locations
D choosing an alternative land use for the designated project site
E expediting the EIA process
{1)
(f)
In impact analysis, what does the term "cumulative impacts" refer to?
A impacts that occur simultaneously with project implementation
B the combined impacts of a project with those of other existing and future projects
C impacts that are negligible and not worth considering
D impacts that can be mitigated easily
E impacts that add to the cost of mitigation
(1)
(g)
What is the purpose of "compensation" as a mitigation measure in EIA?
A eliminating all social impacts of a project
B financially compensating an affected community for project impacts
C maximising project benefits
D reducing significant impacts to an acceptable limit
E avoiding all impacts entirely
{1)
(h)
In the circular economy, what does "cradle-to-cradle" design refer to?
A designing products with a short lifespan
B designing products that cannot be recycled
C designing products without considering environmental impacts
D designing products at the lowest possible cost
E designing products with a focus on recyclability and reusability
(1)
( i)
Which of the following is not typically considered an environmental impact category
in life-cycle assessment?
A air quality
B resource depletion
C freshwater use
D contribution to climate change
E customer satisfaction
(1)
(j)
Which of the following is not a goal of ecological restoration? Re-establishing an
ecosystem that is ...
A resilient
B self-sustaining
C integrated into the larger landscape
D supporting sustainable livelihoods
E dependent on human interventions indefinitely
(1)
Supplementary/ 2nd Opportunity
Examination Question
Page 3 of 8
January 2025

4 Page 4

▲back to top


Integrated Environmental Management
IEM621S
[10]
Question 2:
For each of the following scenarios, select the most appropriate tool from the 'integrated
environmental management toolbox' and explain your choice.
{e.g., if the scenario is about identifying mitigation actions for a project, the appropriate tool
will be an environmental impact assessment):
(a)
Before deciding to conduct bush clearing on a farm near Otjiwarongo in order to
improve veld productivity, scientists measure various vegetation parameters.
(2)
(b)
After the productive lifetime of Ramatex, buildings are reconstructed, dangerous and
unsightly waste and pollutants are removed, and the site is converted into a national
convention and adventure centre.
(2)
(c)
The Ministry of Urban and Rural Development wants to know what the nation-wide
environmental effects and impacts of the revised Rural Development Policy will be.
{2)
[6]
Question 3:
As a development planner in a regional authority, you may be required to apply the
provisions of the Namibian Environmental Management Act and its Regulations.
{a) The Regulations of this Act list activities that require an environmental clearance
certificate. Name the activities related to the rezoning of land {land use change).
{4)
(b) Propose a (i) state indicator, {ii) pressure indicator, and (iii) response indicator to assess
rhino poaching in Namibia.
(3)
[7]
Supplementary/ 2nd Opportunity
Examination Question
Page 4 of 8
January 2025

5 Page 5

▲back to top


Integrated EnvironmentalManagement
IEM621S
Question 4:
The Namibian environmental impact assessment (EIA) process requires a sequence of steps,
including the scoping and assessment reports. Describe the contents of the EIA assessment
report.
[11]
Question 5:
'We can only manage things that we measure'. Provide arguments in full sentences (not only
bullet points or phrases) to support this statement with reference to the concept of
environmental indicators.
[7]
Question 6:
The main aim of engaging stakeholders is to improve communication in the interest of
facilitating better decision-making and more sustainable development.
(a)
Analyse five benefits of stakeholder engagement for a project proponent.
(10)
(b)
Compare the two levels of stakeholder engagement "involve" and "empower"
concerning the extent to which project proponents collaborate with stakeholders.
(4)
[14]
Question 7:
(a)
Frame your understanding of the concept of ecolabels.
(5)
(b)
Discussthe benefits of ecolabels.
Question 8:
(a)
Explain the components of a life cycle assessment of a product.
Supplementary/ 2nd Opportunity
ExaminationQuestion
. Page5 of 8
(5)
[10]
(5)
January 2025

6 Page 6

▲back to top


Integrated Environmental Management
IEM6215
(b)
Compare rehabilitation and restoration in the context of integrated environmental
management, by highlighting their respective objectives and expected outcomes.
(6)
(c)
List four (4) practical techniques with which humans can assist the recovery of a
damaged ecosystem.
(4)
[15]
Question 9:
A key objective of a State of the Environment Report {SOER) is to capture and present, in as
accurate and useful a format as practicable, key information on the state of the 'environment'.
(a)
Complete the flow diagram below to clarify the SOERprocess. Only write the correct
steps for numbers i to v.
(5)
- j_
1. IDENTIFY
2. PRIORITISE
. 1 ••
, • I II
I
DATA/ INFORMATION:
.
1. IDENTIFY EXISTING DATA RESOURCES
2. ESTABLISH AVAILABILITY AND IDENTIFY GAPS
3. ACQUIRE DATA
'I
• I •..
1I Ill
I
• I iv
I
I
IV
I
I
THE SOER
PROCESS
r: I COMPLETE FINAL REPORT
Strategic environmental assessment (SEA)is critical to help achieve sustainable development in
public planning and policy making.
(b)
Clarify the scoping stage of the SEAprocess in your own words.
(4)
(c)
Summarise the main difference between an environmental impact assessment (EIA) and
a strategic environmental assessment (SEA).
Supplementary/ 2nd Opportunity
Examination Question
Page 6 of 8
January 2025

7 Page 7

▲back to top


Integrated Environmental Management
IEM621S
(2)
[11]
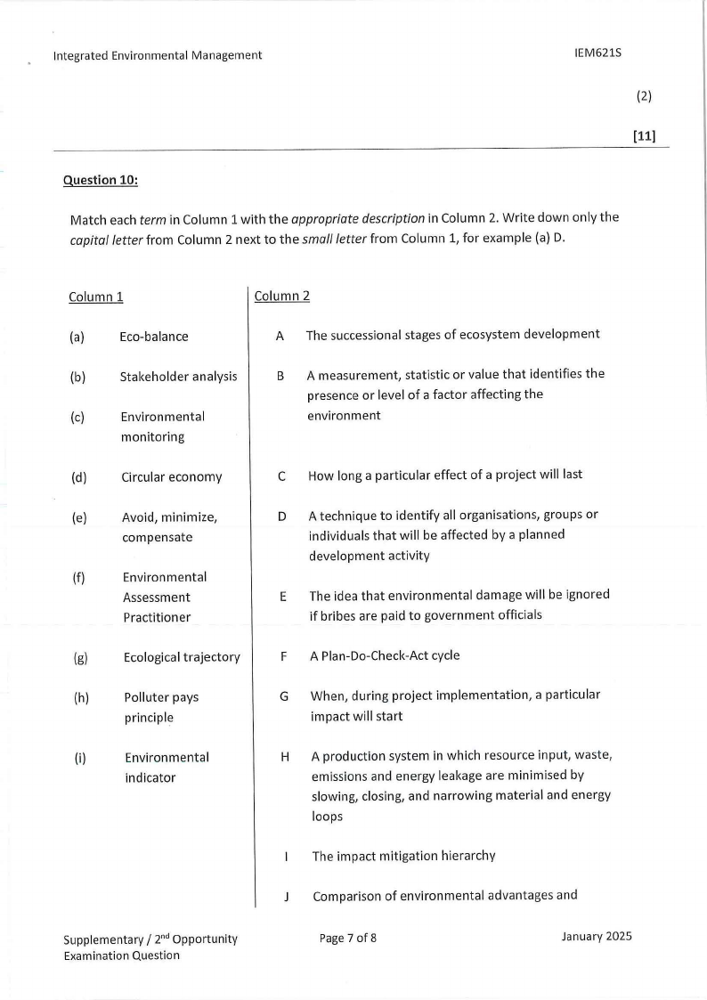
Question 10:
Match each term in Column 1 with the appropriatedescription in Column 2. Write down only the
capital letter from Column 2 next to the small Jetter from Column 1, for example (a) D.
Column 1
Column 2
(a)
Eco-balance
A The successional stages of ecosystem development
(b)
Stakeholder analysis
(c)
Environmental
monitoring
B A measurement, statistic or value that identifies the
presence or level of a factor affecting the
environment
(d)
Circular economy
C How long a particular effect of a project will last
(e)
Avoid, minimize,
compensate
(f)
Environmental
Assessment
Practitioner
D A technique to identify all organisations, groups or
individuals that will be affected by a planned
development activity
E The idea that environmental damage will be ignored
if bribes are paid to government officials
(g)
Ecological trajectory
F A Plan-Do-Check-Act cycle
(h)
Polluter pays
principle
G When, during project implementation, a particular
impact will start
(i)
Environmental
indicator
H A production system in which resource input, waste,
emissions and energy leakage are minimised by
slowing, closing, and narrowing material and energy
loops
The impact mitigation hierarchy
J Comparison of environmental advantages and
Supplementary/ 2nd Opportunity
Examination Question
Page7 of 8
January 2025

8 Page 8

▲back to top


Integrated Environmental Management
IEM621S
disadvantages of an action
K A face-to-face discussion between the project
proponent and key stakeholders to build consensus
and reach a mutually acceptable resolution of issues
L A sign that a product is environmentally friendly
M Any person, group or organisation interested in or
affected by an activity
N The waste management hierarchy
0 A straight line along which observations of
ecosystem health is made
p Evaluation of the consumption of energy and
resources, and the polluting emissions associated
with the life cycle of a product
Q A production model that consists of 'take, make and
dispose'
R The idea that the perpetrator of environmental
damage should bear the cost of restoration
s A process of systematically observing and/or
measuring environmental parameters
T A tool for determining impact that a product has on
the environment while being disposed of
u A person or company designated by a project
proponent to manage the EIA process
{9) {9)
[9]
TOTAL: 100
Supplementary/ 2nd Opportunity
Examination Question
Page8 of 8
·January 2025