FSM621S - FORWARDING AND SHIPPING MANAGEMENT - 2ND OPP SUPL - JAN 2023


FSM621S - FORWARDING AND SHIPPING MANAGEMENT - 2ND OPP SUPL - JAN 2023



1 Page 1

▲back to top


nAmlBIA unlVERSITY
OF SCIEnCE Ano TECHnOLOGY
FACULTY OF COMMERCE, HUMAN SCIENCESAND EDUCATION
DEPARTMENT OF MARKETING, LOGISTICS AND SPORT MANAGEMENT
QUALIFICATION: BACHELOR OF TRANSPORT MANAGEMENT
BACHELOR OF LOGISTICS AND SUPPLY CHAIN MANAGEMENT
QUALIFICATION CODE: 07BTMM
07BLSC
NQF LEVEL:6
COURSE CODE: FSM621S
COURSE NAME:
MANAGEMENT
FORWARDING AND SHIPPING
SESSION: JANUARY 2023
DURATION: 3 HOURS
PAPER: THEORY
MARKS: 100
SECOND OPPORTUNITY EXAMINATION QUESTION PAPER
EXAMINER(S)
Ms. Ester Jesaya
Mr. Jacinto Silva
Ms. Emilia Kamati
MODERATOR: Ms. Selma Kambonde
THIS EXAMINATION QUESTION PAPER CONSISTS OF 3 PAGES {Including this front page)
1

2 Page 2

▲back to top


'J
SECTION A: MATCHING QUESTIONS
QUESTION 1:
40 MARKS
Match the case studies and definitions in column A with a corresponding supply chain term in
column B. Write only the number and the corresponding letter as the correct answer. E.g. 1.
i.
2X20=40 MARKS
Case studies and definitions
l. A middleman is more concerned with moving and clearing
goods on customers' instructions by entering into contracts on
behalf of the customer with carriers, insurance, and customs
brokers.
2. The framework of routes within a system of locations,
identified as nodes.
3. A single link between two nodes that are part of a larger
network can refer to tangible routes such as roads and rails or
less tangible routes such as air and sea corridors.
4. The movement of people, goods, and information over the
transport network system nodes and the interactions
between the systems.
5. The process of planning, implementing and managing the
movement of goods and information involved in the ocean
carriage.
6.
documents are important in transferring
ownership from exporter to importer; they show proof of
purchase and insurance and are required for shipment
release.
7.
are there to shape, encourage voluntary
compliance and to discourage dishonest traders.
8. Harmonized interpreted set of terms that form part of a sale
contract as trading terms that stipulate costs, risks, and
obligations of sellers and buyers in international goods
transactions.
9. The trade agreement confers favored trading status between
two nations.
10. These flights are operated to transport freight/cargo on fixed
schedules only.
11. These are documents required by law, aiming to provide proof
of compliance to set requirements.
12. A commerce treaty that a nation imposes without regard to
others.
13. Any breach or attempted breach of the statutory or regulatory
provisions provided in sections 88-104 of the Namibia
Terms
i. Maritime
Logistics
ii. Cargo only
carriers
iii. Penalties
iv. Commercial
V. lncoterms
vi. Network
vii. Bilateral
viii. Freight
forwarder
ix. Route
x. Flows
xi. Harmonized
System (HS)
xii. Import haulage
xiii. Sustainability
2

3 Page 3

▲back to top


.}
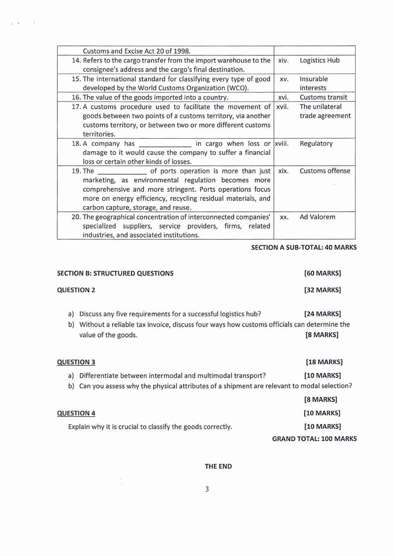
Customs and Excise Act 20 of 1998.
14. Refers to the cargo transfer from the import warehouse to the xiv.
consignee's address and the cargo's final destination.
15. The international standard for classifying every type of good xv.
developed by the World Customs Organization (WCO).
16. The value of the goods imported into a country.
xvi.
17. A customs procedure used to facilitate the movement of xvii.
goods between two points of a customs territory, via another
customs territory, or between two or more different customs
territories.
18. A company has
in cargo when loss or xviii.
damage to it would cause the company to suffer a financial
loss or certain other kinds of losses.
19.The
of ports operation is more than just xix.
marketing, as environmental regulation becomes more
comprehensive and more stringent. Ports operations focus
more on energy efficiency, recycling residual materials, and
carbon capture, storage, and reuse.
20. The geographical concentration of interconnected companies' xx.
specialized suppliers, service providers, firms, related
industries, and associated institutions.
Logistics Hub
Insurable
interests
Customs transit
The unilateral
trade agreement
Regulatory
Customs offense
Ad Valorem
SECTION A SUB-TOTAL: 40 MARKS
SECTION B: STRUCTURED QUESTIONS
QUESTION 2
[60 MARKS]
[32 MARKS]
a) Discuss any five requirements for a successful logistics hub?
[24 MARKS]
b) Without a reliable tax invoice, discuss four ways how customs officials can determine the
value of the goods.
[8 MARKS]
QUESTION 3
[18 MARKS]
a) Differentiate between intermodal and multimodal transport?
[10 MARKS]
b) Can you assesswhy the physical attributes of a shipment are relevant to modal selection?
[8 MARKS]
QUESTION 4
[10 MARKS]
Explain why it is crucial to classify the goods correctly.
[10 MARKS]
GRAND TOTAL: 100 MARKS
THEEND
3