![]() |
MPM512S - MARKETING PRINCIPLES - 2ND OPP - JANUARY 2025 |
![]() |
1 Page 1 |
▲back to top |
![]() |
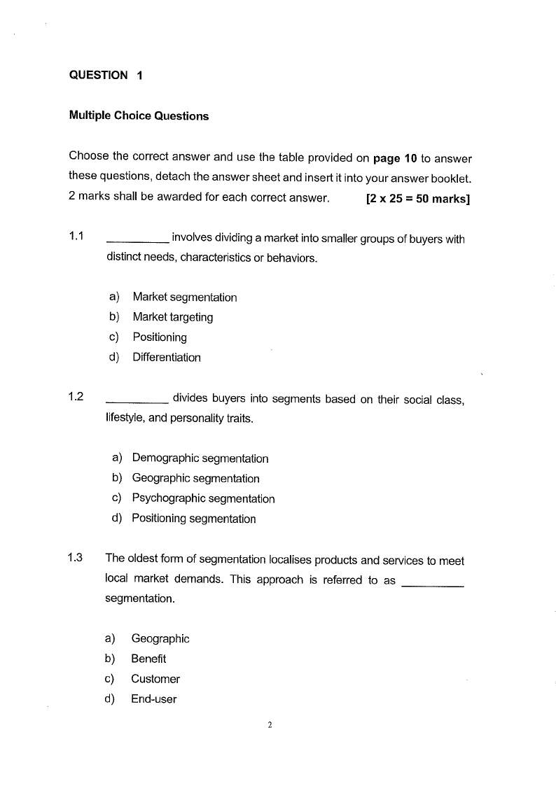
2 Page 2 |
▲back to top |
![]() |
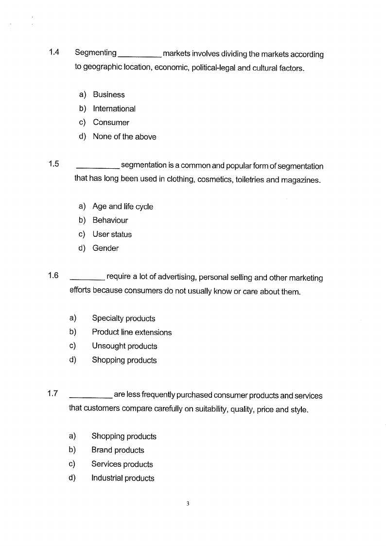
3 Page 3 |
▲back to top |
![]() |
4 Page 4 |
▲back to top |
![]() |
5 Page 5 |
▲back to top |
![]() |
6 Page 6 |
▲back to top |
![]() |
7 Page 7 |
▲back to top |
![]() |
8 Page 8 |
▲back to top |
![]() |
9 Page 9 |
▲back to top |
![]() |
10 Page 10 |
▲back to top |