MOA621S - MEDICAL OFFICE APPLICATIONS 2B - 2ND OPP - JAN 2025


MOA621S - MEDICAL OFFICE APPLICATIONS 2B - 2ND OPP - JAN 2025



1 Page 1

▲back to top


nAmlBIA unlVERSITY
OF SCIEn CE Ano TECHn OLOGY
FACULTY OF COMMERCE; HUMAN SCIENCE AND EDUCATION
Department of Governance & Management Science
QUALIFICATION: Bachelor of Business and Information Administration
QUALIFICATION CODE: 07BBIA
LEVEL: 6
COURSE: Medical Office Applications 2B
COURSE CODE: MOA6215
DATE: January 2025
DURATION: 3 Hours
SESSION: Practical Paper
MARKS: 160
EXAMINER(S}
MODERATOR:
SECOND OPPORTUNITY - QUESTION PAPER
Ms L Tripodi
Ms P Louw
INSTRUCTIONS
1. Answer ALL the questions.
2. Read all the questions carefully before answering.
3. Make sure your name, surname, question number and the date
appear in the Header and Footer.
THIS TEST PAPER CONSISTS OF li PAGES (Excluding this front page)

2 Page 2

▲back to top


\\
Question 1
2"d Opportunity
January2025
Question 1
Marks: 40
Retrieve Question 1 with the Track Changes from your folder and adhere to the
instructions. Type document in Calibri, font size 12, s/s. Insert page numbers except
for the first page (Bottom of page - center). Insert diagonal watermark:
CONFIDENTIAL (u/c, font: default). Use Automatic Table2 for the TOC. Insert
Reference List.
Students, please ensure that you pay attention to the layout of the document by
aligning the numbering correctly.
~~novation Development .....................................................................................
[1.The Status of Innovation Development ..............................................................
-•·····
..
Commented[TL1): InserWt ordArtwiththefollowing
detail:
Fill:BlacTkextColou1r ;OutlineWhiteBackgrounCdolou1r ;
HardShadowBlueA, ccenCt olou5r ,fontsize30
Commented [TL2): Inserat sHeadin1g,Blackfo, ntsize14
Innovation Development is a GP€lef'ly-systematic investigation into and study of
····i materials, sources, and topics in order to ,establish. facts and reach new _conclusions. _.. Formatted:FontComicSansMS,11pt,Bold
1 It is a fundamental aspect of human progress and is integral to the development and ·--... Formatted:FontComicSansMS,11pt, Bold
growth of knowledge across all ~iscipline~ ...........................................................
I2. Intellectual Advancement
At its core, innovation is about discovering new information and expanding our
understanding of the world.
-•·····
Commented[TL3J: Usethefollowinglinktoinserthein·
textcitationreference:
https://wwresearchgate.nebtli/cpaution/332246_5B6o6ok_
Review_Creswell_J_W_2014_Research_Design_Qu
Quantitative_and_Mixed_Methods_App4rtoha_cehde_sT_h
ousand_0aks_CA_Sage
[2.1 Discovering Topic{J.. ...............................................................................
_... ··· Commented[TL4): Inserat sHeadin2g,Blackf,ontsize14
1 By systematically discovering new topics, researchers can ._uncovernew_insi9htsand ...... _:::··· Commented[TLSJ: correctLinespacing
contribute to the body of knowledge in a particular field.
Formatted:Font:ComicSansMS,11pt, Bold,Italic
[2.2 Conceptual Development[ ...........................................................................
[This advancement of knowledge is crucial for the development of new theories,
-•····· Commented[TL6]: Inserat sHeadin2g,Blackf,ontsize12
concepts, and practices.
Whether it's uncovering the secrets of the universe in astrophysics or understanding
human behaviour in psychology, research fuels intellectual growth and curiosityL ...... -•····· Commented[TL7J: Createoneparagraph
[3.Data-driven DecisionJ, ....................................................................................
- .•···· Commented[TL8): Inserat sHeadin1g,Blackf,ontsize14
Innovation plays a critical role in informed decision-making, particularly in policy-making
and business strategy. By providing ~vidence-based informatio~, research helps ............ -······ Commented[TL9J: Typein boldandunderline
policymakers understand the potential impacts of their decisions and create policies
that are beneficial for the public.
I1, the busi1,ess werld, marl1et researeh allews eempa1,ies te u1,derstamJ ee1,sumer
behavieur, ide1,tif)' 1T1arl1ettre1,ds, a1,d make strategie deeisie1,s that eAha1,eetheir
cempetitive1,ess. 'Nitheut research, decisie1,s weuld be based 01,assumptiel'IS a1,d
speculatiel'I, leadi1,g te petel'ltiall•t disastreus euteemes.

3 Page 3

▲back to top


2
~- Social Impact of Research ~~~~'?!'_~Hh~~-1J_P.~9_f9_~!1.1_!t:r'P.'?~_t_'?_~_~9-~[~_Ctoym_m1eJn_te~d _([T_Ll1_O~Jh:In'?se!r~t a_s.H}e:atd_in_g~1-, -B-la-c-k-,font size
addresses critical issues such as health, education, and the environment, leading to - 14
improvements in the quality of life.~Ealnple,
reseaPch in public health helps in
Commented [TL 11]: Insert new paragraph
t:111derstendina9nd centrellin9 diseases, leadin9 te healthier pep~.
Educational
research informs teaching methods and learning processes, enhancing educational
outcomes. Envirenmental research centributes te understat1di1,9climate cha1,9eand
fi-ndi1,9sustaiMble selutie1,~rnne1,tal
challeflges. The be1,efits ef reseaPch
e)<tend beyend the indii,cidualte seciety at lar9e, mal~in9it an essentiat-=teelfer secial
pre9PeSS.
~- ______P_ersonal and Career GrowtH __________________________________________________________-:_--_-_--___C_o_m_m__en_t_e_d__[_TL 12]: Pleasestart paragraph nr son the
Engaging in research also offers significant personal and professional benefits. For
individuals, research develops critical thinking and analytical skills, enhances problem-
next page
Commented [TL 13]: Insert as Heading 1, Black,font size
14
solving abilities, and fosters a sense of curiosity and exploration.
[6.
Innovation and Technological Developmen{_ _____________________________________________._--_·__C__o_m_m_e_n_te_d__ [TL 14]: Insert as Heading 1, Blackfont size
14
\\innovatio~--- ___~- ________-_~_!.<!~_s_f~~~j?___t_!_~_~_______________________________--_-_-•_;_::__:_-_____________________
Commented [TL 15]: Use Block Arrow Right, height 0.09,
Innovation is the backbone of Transformation. It provides the foundation for
\\,.::--- width 0.62"
developing new technologies, products, and processes that can improve the quality of
life.
.. •,-._
\\
Commented [TL 16]:
Text: Calibri size 11
Insert
Rectangular, height 0.36"
Commented [TL 17]: Insert the Equal Equation Shape,
\\6,1 Recognise Challenge( ____________________________. _________________________________-_--_._______h_e_ight 0.23" and width 0.59"
'.
Through investigation, scientists and engineers can identify problems and create
Commented [TL 18]: Insert Oval, height 0.36"
Text: Calibri size 11
solutions that lead to technological advancements, For instance, research in medicine
Commented [TL19]: Insert as Heading 2, Black font size
has led to the development of life-saving drugs and medical procedures.
12
[6.2
Devices and Application~ ______________________________________________________________.._. _-_· __C_o_m_m__e_nt_e_d___[T_L_2_0]: Insert as Heading 2, Blackfont size
12
1. !statistical Analysis Software
2. Data Management Software
3, Digital Recorders
4. Drones
5, Wearable Technology[.______________·_-_·-_-·_·_·-_--_·_--·--·-·-·----·-·---·-----------· ________._--_-_--_ Commented [TL21]: Replacewith round bullets, s/s
[7.
Knowledge Management and Preservation!______________--_--_-_--------------------------
__________.._-_--- Commented (TL22]: Insert as Heading 1, Blackfont size
14
Innovation ensures that valuable knowledge is documented and preserved for future
generations. By recording findings and results, PeseaPcherscreate a repesitery ef
infermatien that can be accessed and built upe1,by ethers. This decumentatien is
vital fer maintainir,9 the eentir,uity ef l1newled9eand ensurin9 that insi9hts are-tiet
lest e1,•ePtime. It else provides a reference point for future research, allowing new
generations of researchers to learn from past work and avoid duplicating efforts.

4 Page 4

▲back to top


3
3
i!G.§.. Conclusio~. ----·----- ------·----· ·--·---·---·- ___·_-------·--- ·-----·----------·-· ·---··-·--·-·-----------·--·- -·· Commented [TL23]: Insert asHeading 1, Black,font size
Innovation is a powerful tool that drives human progress. Its importance is evident in
14
the advancement of knowledge, innovation, informed decision-making, societal
benefits, personal and professional development, preservation of knowledge, and
economic growth.

5 Page 5

▲back to top


Question 2
2nd Opportunity
January 2025
Question 2
TOTAL: 40
Retrieve the Spreadsheet named "Weight Loss" and adhere to the following
instructions.
Sheet 1 - Weight in June
Sheet 2 - Weight in August
INSTRUCTIONS:
1. The participants of the "Kyknet" show "The Biggest Loser" are having their first
weigh-in show. These participants are part of this programme for the last 6
months. We would like to calculate their weight for the of June and August
together.
2. Open another sheet, sheet 3 and rename it as Total Weight. Copy the sheet of
Weight in June to sheet 3. Delete the columns for Hobby & Towns. Please
calculate the weight for both months for each participant and insert the results in
the Total Weight sheet.
2.
Formatting - Total Weight sheet:
2.1 Insert two rows:
1st Row- Insert Heading - Total Weight (u/c, Bold, font Calibri, size 16, merge &
centre)
2.2 Row Height:
Column Headings row height - 40 pixels
Rest of rows - 30 pixels
2.3 Column Headings (Calibri, Bold, Font size 14) with background color of White
background 1, 15%.
Formatting:
3. Copy the Sheet named Weight in June from the workbook to a new workbook
and rename the sheet as Original.
3.1 Change the font to Arial, Font size 12.
3.2 Insert two-line space on top and add the heading - Total Weight in the first line
(Merge and Centre, Bold, Font Size 16, Font Arial).
3.3 Insert All Borders (excluding the Main headings)

6 Page 6

▲back to top


..c::-:,-
Question 2
2nd Opportunity
3.4 Row Height:
Column Headings - 40 pixels.
Rest of table - 35 pixels.
January 2025
3.5 Column Headings - bold the column headings and insert background color -
White Background 1, Darker 15%.
Filter:
4. Copy the Original sheet four times and do the following filtering with the renaming
accordingly:
4.1 Sheet 1 - Display the first names that contains the letter "o".
4.2 Sheet 2 - Show only the participants whose hobby does not contains an "e".
4.3 Display all the towns that starts with the letter "k"
4.4 Sheet 3 - Please display the weight in Junes of the participants between 55 and
60.
5. Insert the header for each sheet.
6. Print all filtered sheets in portrait.

7 Page 7

▲back to top


1
QUESTION 3 - PUBLISHER
Question 3
January 2025
[30]
Create the following Academic Achievement Ceremony invitation card for some special
guests. Please adhere to the instructions below.
Under the Built It Templates, select Greeting Card, Occasions & Events, Anniversary 1.
Colour Scheme: Mist
Font: Georgia
Page Size: Quarter-Sheet Top Fold
Page 1 -Top Front Cover
Delete default picture and replace with "Class of 2024" picture in folder. Resize to 5.4cm,
centre position. In the space below, delete the words Best Wishes and replace with -
"Celebrating Success" (font: Georgia, 14cm, centre)
Page 2 (top inside)
Delete top part - insert the following content:
Celebrating Academic Excellence!! (Font: Aparajita, size 24, cent)
1st and 2nd block. Insert graduation picture (saved in folder).
Page 3
1st Place holder: Delete content
2nd Place holder: Delete content and replace with the following:
Type
headings
in bold
Join Us for a
Night of Celebration
I Font: Georgia, 16, cent
,,--
Date :
Time :
.__Location:
*
15 November 2024
}
19:00
NUSTHotel School, Windhoek-west,
II
Aldhabi, 20
-:f::.
"Turning Tassels, Embracing Tomorrow!"-1>1
I Font: Georgia, 12, cent, bold, italics
Page 4: Back of Invite
Insert in textbox: "Yesterday's Students, Today's Graduates, Tomorrow's Leaders!". Type
in font: Agency FB, 18, underneath each other, center position,
Please delete DBTS and replace with your name and student number in brackets in a
centered position.

8 Page 8

▲back to top


Name
Elixir
January 2025
ELIXIR
MARKS: 60
A new medical practice, Pelia Medical Practice opened their doors
in Eros, Windhoek. As the Office Administrator use your skills that
you have learnt during your training to set up this practice.
.ELIAMEDICIL
PRACTICE
1. Insert the following service Providers:
Provider Practice
Dispensing
-
DisciplineHPCSACNeRllulaDr ispenRsiengistration
-
DCr hrisdtiunTeoiHt ealLthilyCe linic cdutoit@gmail.OcocmcupaTtihoenraalp3i2ts345403821813232Y45e6s 7001-31
DRr obeArptopleFamCilayCreenter rapple@mweb.McoemdiOcanlcologis2t2568902851812323Y56e9s 7001..32
DBr ernHaradufiCkuifHyeaClthlinic bhaufiku@gmaGil.ecnoeSmruarlgeon 12365809891812245N69o7
-
DHr eleNndaumWe indhFoaemkPilryacthicnedume@telecOopmth.naalmologis4t5456908871815647N89o9
2.
Create the following accounts for each patient.
'I
I
I
'
I
,.
r
Account
Number Sutilah1.eFirsntamePpstaAlddress IDNurilber Town
£-ll)ails
Priwider
cool sinfrh John po:sgx121~2201.01450G0O10B0ABI~:jQhnsmith@gmail.cDomrdui"o(t
- 0002 John~ci!i Sarah POBoX3214. 9201011450W0.,·1.I.0,N, DHOEKsarah,jo~nson@gmaDilr.Hcoanuiflk~
0003 Oavis Mike pbBctk222 ij5260il4500R10EHO~OTHmi~edavis@gmail.cDomrN,dume
I odo4 Brown . Emily POBoX1478 83070745.00l1{.0A0.LKRANDemifybrowri@grtJaiDi.rcNomdurne
- 0005 Wilson oavMPbBoii,258 75~02101.0M00A0RiEtHAdL~vigwJls9n@g1T1D~rilA_p.cpolm~
0006
'Martinez.,Sophia
.,PRIVABTAEGJ12'
8010101112O52l0(AHANDJsAophiamarj:iriez@gmDraHila..cuofn1nku
'
.'
3. Insert the following Accounting groups to your Database:
3.1 Normal - White
3.2 Exceed Benefits - Blue
3.3 Paper Claims - Green
3.4 Handed over- Yellow
4. Set up the following clinics:
4.1 Lady Pohamba Private Clinic
4.2 Roman Catholic Clinic
4.3 Eros Medical Clinic
1

9 Page 9

▲back to top


7
Name
Elixir
January 2025
5. Load the following Colleagues:
5.1 Dr Brian Muundja, Pr nr 2349879, Assisting doctor - Anaesthesiologist, E-mail
Address - bmuundja@gmail.com
Private Bag 456, Windhoek
5.2 Dr W Kaambo, Pr nr 8989678 - Referring doctor - Radiologist, Private Bag 987,
E-mail Address -wkaambo@mweb.na, Kleine Kuppe
5.3 Dr John Peters, Pr nr 8901243 - Assisting doctor - Neurologist, E-mail Address -
jpeters@telecome.na, Private Bag 369, Windhoek
6. Add the following medical aid numbers (references) to the existing accounts.
Account
Medical AID Medical Aid
-1-N~u_m---,-b_e_r--1---Su~r_n~am_e_+e_J~m:__-eh'-'--_'i-_--s1t-~NN'-__a_um_-m--_,-·lb_-E~--_+--E-1S!:_~rch'--',-
oool S_~ith John
-1-----+-----1----,------t---'---~----~'-'--------l-
NAP9TEL
;525tU
0002
Johnson Sarah VITALITY
525_1,13
0003
Davis
Mike
NAMD~B
?25).lli
0004
Brown Er.fiily LIBERTI,LJFE _525~
-1-0-0-0--5+---+-----+W---i-l~s-"-o--_--~---1,Da\\iid iNVESJl\\~ED_52.5116
0006
Martii:iez. Sophia NM.(::TQPJ\\Z .;525117
7. You have to add the following reasons to the Rejection list.
7.1 Claim Date Expired
7.2 Account in Arrears
8. Select the Account group "Handed Over" and "Benefits Exceeded" place a
financial block on it.
9. Insert the following dependents to the following accounts.
MAIN
MEMBER
Ms Sofia Martinez
Mr John Smith
DEPENDANT
Kelly Martinez (01)
Date of Birth: 12 October 2010
Allergies: Cetirizine
Jaden Smith (02))
DOB: 07 June 2015
Allergies: Amiloride
10. Please create the following Macros:
Macro
Procedure
URl808 Urine Retention
Your
Code
B8UE
OASI
IQU7
2A82
Description
Sterile Pack Kit
Gloves PEHA
Trimega CAP
Vita C Tab
2

10 Page 10

▲back to top


Name
Elixir
January 2025
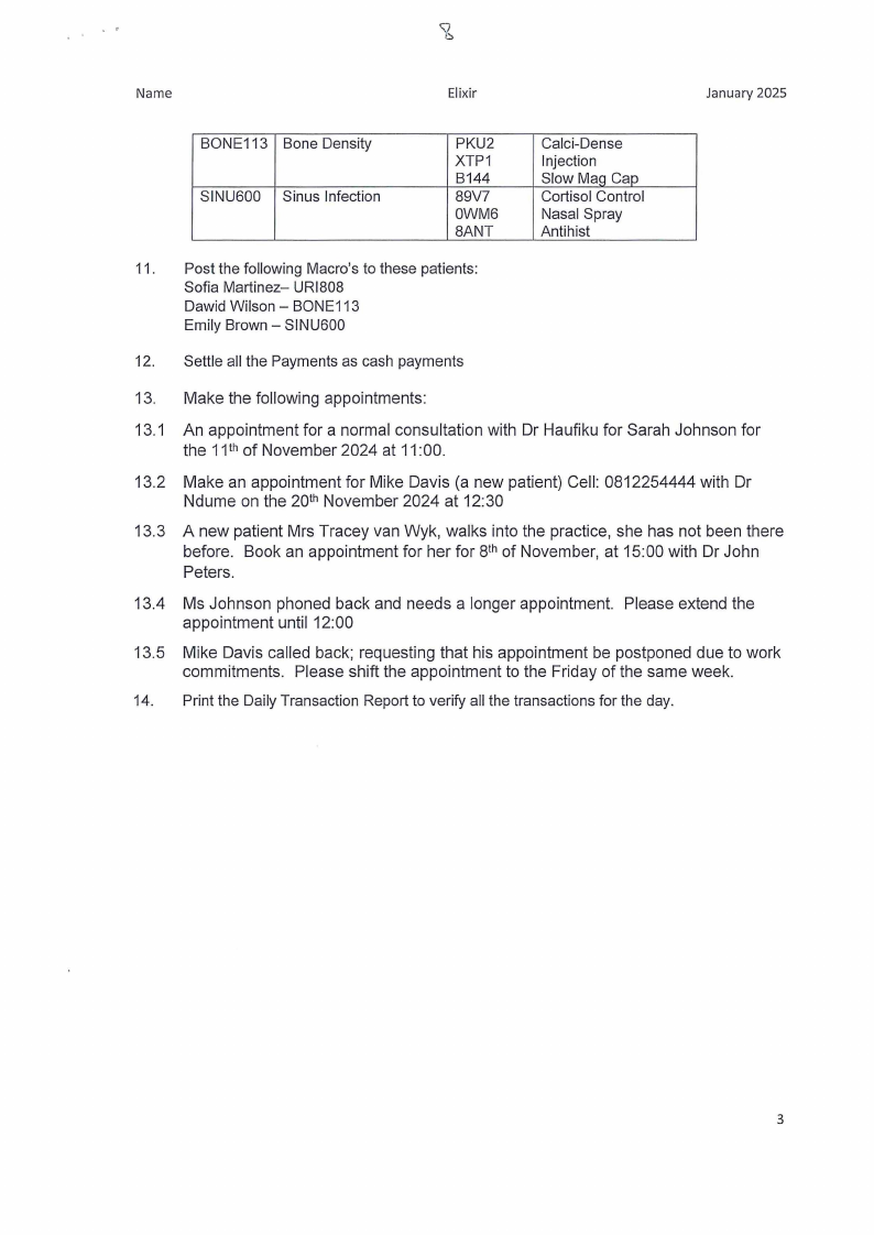
BONE113 Bone Density
SINU600 Sinus Infection
PKU2
XTP1
B144
89V7
0WM6
SANT
Calci-Dense
Injection
Slow Maq Cap
Cortisol Control
Nasal Spray
Antihist
11. Post the following Macro's to these patients:
Sofia Martinez- URl808
Dawid Wilson - BONE113
Emily Brown -SINU600
12. Settle all the Payments as cash payments
13. Make the following appointments:
13.1 An appointment for a normal consultation with Dr Haufiku for Sarah Johnson for
the 11th of November 2024 at 11:00.
13.2 Make an appointment for Mike Davis (a new patient) Cell: 0812254444 with Dr
Ndume on the 20th November 2024 at 12:30
13.3 A new patient Mrs Tracey van Wyk, walks into the practice, she has not been there
before. Book an appointment for her for 8th of November, at 15:00 with Dr John
Peters.
13.4 Ms Johnson phoned back and needs a longer appointment. Please extend the
appointment until 12:00
13.5 Mike Davis called back; requesting that his appointment be postponed due to work
commitments. Please shift the appointment to the Friday of the same week.
14. Print the Daily Transaction Report to verify all the transactions for the day.
3