AGS520S - AGRICULTURAL STATISTICS - 2ND OPP - JUNE 2025


AGS520S - AGRICULTURAL STATISTICS - 2ND OPP - JUNE 2025



1 Pages 1-10

▲back to top


1.1 Page 1

▲back to top


nAml BIA UnlVERSITY
OF SCIEnCEAnDTECHnOLOGY
FacultoyfHealthN, atural
ResourceasndApplied
Sciences
Schoool f NaturalandApplied
Sciences
Departmentof Mathematics,
StatisticsandActuariaSl cience
13JacksonKaujeuaStreet
PrivateBag13388
Windhoek
NAMIBIA
T: +264612072913
E: msas@nust.na
W:www.nust.na
QUALIFICATION : BACHELOR OF SCIENCEIN AGRICULTURE & BACHELOR OF SCIENCEIN
HORTICULTURE
QUALIFICATION CODE: 07BAGA & 07BHOR
COURSE: AGRICULTURAL STATISTICS
DATE: JULY 2025
DURATION: 3 HOURS
LEVEL: 5
COURSECODE: AGS520S
SESSION: 1
MARKS: 100
EXAMINER:
MODERATOR:
SECOND OPPORTUNITY: QUESTION PAPER
Mr. Jonas Amunyela, Mr. Polykarp Amukuhu
Mr. Andrew Roux
INSTRUCTIONS:
1. Answer all questions on the separate answer sheet.
2. Please write neatly and legibly.
3. Do not use the left side margin of the exam paper. This must be allowed for the
examiner.
4. No books, notes and other additional aids are allowed.
5. Mark all answers clearly with their respective question numbers.
PERMISSIBLE MATERIALS:
1. Non-Programmable Calculator
ATTACHEMENTS
1. Z distribution Table
2. T distribution table
3. Chi-square table
4. Formula sheet
This paper consists of 6 pages including this front page

1.2 Page 2

▲back to top


QUESTION 1: MULTIPLE CHOICE QUESTIONS
[18 MARKS)
Evaluate the statements in each numbered section and select the most appropriate answer
1.1 _______
produce outcomes that come from a counting process, e.g. the
number of chickens present at the feeding area.
[2]
A.) Discrete random variable
B.) Continuous random variable
C.) Normal random variable
D.) Nominal random variable
E.) Ordinary random variable
1.2 __________
can be regarded as a nominal scale of measurement.
A.) Types of soil
[2]
B.) Age of individuals
C.) Weight of eggs
D.) Number of livestock
E.) None
1.3 When labels or names are being used to identify an attribute of each element, the
researcher is considering a:
[2]
A.) Nominal scale of measurement
B.) Ratio scales of measurement
C.) Qualitative data
D.) Quantitative data
E.) Interval scales of measurement
.,,
1.4 If set A and B forms a partition of the sample space S, which of the following is true
about set A and B?
[2]
a) P(A u B) = P(S)
b) P(A u B) = P(A) + P(B) - P(A n B)
c) P(S) = 0
d) P(A n B) = P(A) + P(B)
Agricultural Statistics (AGS520S) 2nd Opportunity JULY2025
2

1.3 Page 3

▲back to top


1.5 Mathematical probabilities can have values
a) Between -1 and 1 inclusive
b) Corresponding to any positive real number
c) Between 0 and 1 inclusive
d) Quotients of positive whole numbers or zero
[2]
1.6 Supposed the events A and A are two complementary events. Which of the following
is not true about these two events?
a) P(A u A)= P(S)
b) 1- P(A) = P(A)
c)P(AUA)=l
d) P(A u A) -=I=l
[2]
1.7 If you believe that the probability of purchasing a new tractor is dependent on
getting a new higher paying job next year, the probability of purchasing the tractor is
an example of:
a) independent probability
b) Conditional probability
c) Joint probability
d) Subjective probability
[2]
1.8 If the probabilities are respectively 0.20, 0.25 and 0.38 that a car stopped at a
roadblock will have faulty brakes, badly worn tyres, faulty brakes and badly worn
tyres. What is the probability that such a car will have faulty brakes or badly worn
tyres?
[2]
a) 0.09
b)
0.29
c)
0.07
d)
0.45
1.9 Consider a bag containing 15 balls, of which 9 are green and 6 are white. In an
experiment 2 balls are drawn in succession, white followed by green.
[2]
Let A= {event of drawing a white ball}, Let B = {event of drawing a green ball}
What is the probability of drawing both white balls?
a) lh
b) 2/ 5
c) s/i4
d) 9hs
Agricultural Statistics (AGS520S) 2nd Opportunity JULY2025
3

1.4 Page 4

▲back to top


SECTION B (Show all your working)
Question 2
[10 marks]
2.1 State whether each of the following is quantitative or qualitative variable. If it is
quantitative, state whether it is discrete or continuous.
a. Your crop variety
[2]
b. The number of tomatoes harvested per hector in the last 2 months.
[2]
c. The status of Foot-and-mouth disease (FMDV) in randomly selected farm animals
[2]
d. The weight of bags of dry beans from five different plots.
[2]
e. The soil types in 10 different plots
[2]
Question 3
(30 marks)
3.1 123 138 127 148 152 161 155 131 176
152 136 129 123 128 162 145 133 137 132
3.1.1 Determine the mode for the rainfall data.
[2]
3.1.2
Group the data into a grouped frequency distribution with a lowest class lower limit
of 120 mm and a class width of 10 mm. (NB include classes, frequency and relative
frequency)
[8]
3.1.3 What percentage of the rain fall was received between 120 mm to 130 mm? [1]
3.2 Cabbage is among the highest nitrates containing vegetarian food available in terms
of quantity. The following table presents the distribution of nitrates in grams that
was measured from 29 cabbages.
Nitrates contents
(in grams)
0-<9
9-<18
18-<27
27-<36
36-<45
Frequency
4
3
9
7
6
3.2.1 Estimate the mean nitrate for the cabbages
[3]
3.2.2 Estimate the median nitrate for the cabbages
[3]
3.2.3 Estimate the mode nitrate for the cabbages
[3]
Agricultural Statistics (AGS520S) 2nd Opportunity JULY2025
4

1.5 Page 5

▲back to top


3.3 Two thousand randomly selected farmers were asked whether they have ever
shopped on the internet. The following table gives a two-way classification of the
responses
Have Shopped
Have never
Shopped
Male
400
800
Female
350
450
If one farmer is selected at random from these 2000 farmers, find the probability that this
farmer
3.3.1 has never shopped on the Internet
[2]
3.3.2 is a male
[2]
3.3.3 is male or has shopped on the internet
[2]
3.3.4 is female given that she has shopped on the internet
[2]
3.3.5 is male or female
[2]
Question 4
(17 marks)
4.1 It is assumed that a sampling error of no more than ±4 is desired along with 90%
confidence to determine a sample size appropriate to estimate the mean weights of
chicken eggs. Past data indicated that the standard deviations of the weight have been
approximately 22Kg for substantial period.
Calculate the sample size needed
[3]
4.2 An animal Farmer found that the sample average life of 30 specific blend of goats
tested was 10 years. The population standard deviation is known to be 5 years.
4.2.1 Construct and interpret a 90% confidence interval estimate for the true mean life of
all goats
[6]
4.3 An analytical chemistry lab is conducting quality control tests on a drug. A single
dosage of the drug should contain 8 mg of active ingredient. Of course, there will be
a small amount of variability due to imperfections in the production process, but the
mean of all dosages produced should be 8 mg. In 20 random dosages, the mean
amount of active ingredient is 7.7 mg with a standard deviation of 1.03 mg. Do the
Agricultural Statistics (AGS520S) 2nd Opportunity JULY2025
5

1.6 Page 6

▲back to top


data suggest that the mean amount of active ingredient in all dosages produced is
different from 8 mg? use a = 0.05
[8]
QUESTION5
(25 marks)
5.4 A certain farm owner buys a particular battery for his tractor. He decides to stop
buying them if the mean life of these batteries is less than 24 months. A random
sample of 9 batteries yielded a mean life of 22 months with a standard deviation of 3
months.
Test whether the farm owner should stop buying these batteries using a 10% level of
significance.
[8]
5.5 The table below shows the heights (in meters) of a random sample of seven lemon
trees in Herta's Garden.
Trees
A
B
C
D
E
F
G
Height 1.05
0.99
1.2
1.1
1.5
0.98
0.95
5.5.1 Estimate the variance of the entire population of lemon trees in Herta's Garden with
a 99% degree of confidence.
[8]
5.5.2 Herta decides to continue growing lemon trees in her garden if the population
variance for the heights of these trees is more than 1.05 meters.
Should Herta continue growing lemons? Use 5% level of significance.
[9]
--------------------------------------------------------------------------------------------------------------------------
END OF QUESTION PAPER
Agricultural Statistics (AGS520S) 2nd Opportunity JULY2025
6

1.7 Page 7

▲back to top


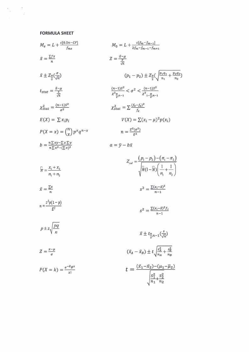
FORMULASHEET
= M L c[O.Sn-CF]
+ e
,rme
x-=-
"f,fx
n
tstat
=
x-µ
-s-
..Jn
2 _ (n-l)S 2
Xstat -
c,2
E(X) = LXiPi
P(X = x) = (:) pxqn-x
= b n"f,xy-"f,x"f,y
n"f,x2-("f,x) 2
= x, +x 2
n, +n 2
x- =-
"f,x
n
p±zfa}
Z = x-µ
er
= = P(X k) e-00x
x!
Z=-a-x-µ
..Jn
°" 2 _ (fo-fe)2
Xstat - L, fe
a= y- bx
s2
"f,(x·-x)
==--"--t
-
2
n-1
= s2 "f,(xi-x)2 Ii
n-1

1.8 Page 8

▲back to top


Cumulative probabilities for POSITIVE z-values are shown below .
z
0.0
0.1
l 0.2
I 0.3
I 0.4
' 0.5
0.6
I 0.7
\\ 0.8
0.9
1.0
1.1
1.2
1.3
; 1.4
1.5
j 1.6
I 1.7 -
1.8
1 1.9
2.0
2.1
2.2
2.3
2.4
2.5
2.6
2.7
i 2.8
I 2.9
3.0
3.1
3.2
3.3
3.4
.00
.5000
.5398
.5793
.6179
.6554
.69·15
.7257
.7580
.788·1
.8159
.8413
.8643
.8849
.9032
.9192
.9332
.9452
.9554
_954·1
.9713
.9772
.982·1
.986·1
.9893
.9_918
.9938
.9953
.9965
.9974
.9981
.9987
.9990
.9993
.9995
.9997
.01
.5040
.5438
.5832
.6217
.6591
.6950
.7291
.76-JI
.7910
.8"186
.8438
.8665
.8869
.9049
.9207
.9345
.9463
.9564
.9649
.9719
.9778
.9826
.9864
.9896
.9920
.9940
.9955
.9966
.9975
.9982
.9987
.9991
.9993
.9995
.9997
.02
.5080
.5478
.587"1
.6255
.6628
.6985
.7324
.7642
.7939
.8212
.8461
.8686
.8888
.9066
.9222
.9357
.9474 :
.9573
.9656
.9726
.9783
.9830
.9868
.9898
.9922
.9941
.9956
.9967
.9976
.9982
.9987
.9991
.9994
.9995
.9997
.03
.S-120
.SSH
.59-W
.6293
.6664
.7019
.7357
.7673
.7967
.8238
.8485
.8708
.8907
.9082
.9236
.9370
.9484
.9582
.9664
.9732
.9788
.9834
.9871
_990·1
.9925
.9943
.9957
.9968
.9977
.9983
.9988
.9991
.9994
.9996
.9997
.04
.5160
.5557
- .5948
.633·1
.6700
.7054
.7389
.7704
.7995
.8264
.8508
.8729
.8925
.9099
.925·1
.9382
.9495
_959·1
.967"1
.9738
.9793
.9838
.9875
.9904
.9927
.9945
.9959
.9969
.9977
.9984
.9988
.9992
.9994
.9996
.9997
.05
.5199
.5596
.5987
.6368
.6736
.7088
.7422
.7734
.8023
.8289
.8531
.8749
.8944
.9115
.9265
.9394
.9505
.9599
.9678
.9744
.9798
.9842
.9878
.9906
.9929
.9946
.9960
.9970
.9978
.9984
.9989
.9992
.9994
.9996
.9997
.06
.5239
.5636
.6026
.6406
.6772
.7123
.7454
.7764
.8051
.8315
.8554
.8770
.8962
.9131
.9279
.9406
.9515
.9608
.968-6
.9750
.9803
.9846
.9881
.9909
.9931
.9948
.9961
.9971
.9979
.9985
.9989
.9992
.9994
.9996
.9997
.07
.5279
.5675
.6064
.6443
.6808
.7157
.7486
.7794
.8078
.8340
.8577
.8790
.8980
.9147
.9292
.9418
.9525
.9616
.9693
.9756
.9808
.9850
.9884
.9911
.9932
.9949
.9962
.9972
.9979
.9985
.9989
.9992
.9995
.9996
.9997
. 08
.53"19
.5714
.6103
.6480
.6844
.7"190
.7517
.7823
.8106
.8365
.8599
.8810
.8997
.9162
.9306
.9429
.9535
.9625
.9699
.9761
.9812
.9854
.9887
.99B
.9934
.9951
.9963
.9973
.9980
.9986
.9990
.9993
.9995
.9996
.9997
.09
.5359
.5753
.6141
.6517
.6879
.7224
.7549
.7852
.8133
.8389
.862·1
.8830
.9015
.9177
_93·19
.9441
.9545
.9633
.9706
.9767
.9817
.9857
.9890
.99"16
.9936
.9952
.9964
.9974
.9981
.9986
.9990
.9993
.9995
.9997
.9998

1.9 Page 9

▲back to top


Z-Table
The table shows cumulative probabilities for the standard normal curve.
Cumulativeprobabilitiesfor NEGATIVEz-valuesare shownfirst. SCROLL
DOWNto the 2nd pagefor POSITIVEz
z
-3.4
-3.3
-3.2
-3.1
-3.0
-~.9
-2.8
-2.7
-2.6
-2.5
-2.4
-2.3
-2.2
'
-2.1
-2.0
-1.9 ....
-1.8
I -1.7
I -1.6
l -1.5
. -1.4
-1.3
-1.2
-1.1
-1.0
I -0.9
' -0.8
-0.7
-0.6
-0.5
-0.4
-0.3
-0.2
-0.1
0.0
.00
.0003
.0005
.0007
.oorn
.OOB
.0019
.0026
.0035
.0047
.0062
.0082
.0107
.0"139
.0"179
.0228
.0287
.0359
.0446
.0548
.0668
.0808
.0968
.1"151
.1357
.-1587
.1841
.2"1"19
.2420
-.2-743
.3085
.3446
.3821
.4207
.4602
.5000
.01
.0003
.0005
.0007
.0009
.00"13
.0018
.0025
.0034
.0045
.0060
.0080
.0104
.0136
.0174
.0222
.0281
_035·1
.0436
.0537
.0655
.0793
.0%1
.1131
."1335
.1562
.rn·14
.2090
.2389
.2709
.3050
.3409
.3783
.4168
.4562
.4960
.02
.0003
.0005
.0006
.0009
.0013
.0018
.0024
.0033
.0044
.0059
.0078
.0'102
.0132
.0170
.02'17
.0274
.0344
.0427
.0526
.0643
.0778
.0934
.11·12
.1314
.1539
.1788
.2061
.2358
.2676
.3015
.3372
.3745
.4·129
.4522
.4920
.03
.04
.0003 .0003
.0004 : .0004
.0006 .0006
.0009 .0008
.0012 .0012
.0017 .00'16
.0023 .0023
.0032 .003·1
.0043 .904·1
.0057 .0055
.0075 .0073
.0099 I .0096
.0129 .0125
.0166 .0162
.0212 .0207
.0268 .0262
.0336 ' .0329
.0-418 .0409
.0516 .0505
.0630 .06'18
.0764 .0749
.0918 .0901
.1093 I .1075
.1292 .127"1
.15'15 .1492
.1762 .1735
.2033 .2005
.2327 .2295
.2643 .26·1·1
.298"1 .2946
.3336 .3300
.3707 .3669
.4090 ! .4052
.4483 I .4443
.4880 : .4840
.05
.0003
.0004
.0006
.0008
.0011
.0016
.0022
.0030
.0040
.0054
.001·1
.0094
.0"122
.0158
.0202
.0256
.0322
_040·1
.0495
.0606
.0735
.0885
.1056
.125'1
.1469
.1711
.1977
.2266
.2578
.2912
.3264
.3632
.4013
.4404
.4801
.06
.0003
.0004
.0006
.0008
.0011
.0015
.0021
.0029
.0039
.0052
.0069
.0091
.0119
.0154
.0197
.-02..5. 0
.0314
.0392
.0485
.0594
.0721
.0869
.1038
.1230
.·1446
.-1685
.·1949
.2236
.2546
.2877
.3228
.3594
.3974
.4364
.4761
.07
.0003
.0004
.0005
.0008
.0011
.0015
.0021
.0028
.0038
.005·1
.0068
.0089
.0116
.0·150
.0192
.0244
.0307
.0364
.0475
.0582
.D708
.0853
.1020
.1210
.1423
.1660
.-1922
.2206
.2514
.2843
.3192
.3557
.3936
.4325
.4721
.08
.0003
.0004
.0005
.0007
.0010
.0014
.0020
.0027
.0037
.0049
.0066
.0087
.01-J3
.0146
.0188
.0239
_030·1
.0375
.0465
.057"1
.0694
.0838
.1003
.1190
.1401
.1635
.-1894
.2177
.2483
.28'10
_3·156
.3520
.3897
.4286
.4681
.09
.0002
.0003
.0005
.0007
.0010
.00'14
.00'19
.0026
.0036
.0048
.00(:4
.0084
.0·110
.0·143
.0183
.0233
.0294
.0367
.0455
.0559
.0681
.0823
.0985
.1170
."1379
.1611
.l867
.2148
.2451
.2776
.312"1
.3483
.3859
.4247
.4641

1.10 Page 10

▲back to top


TABLE of CRITICAL VALUES for STUDENT'S t DISTRIBUTIONS
d.f. 0.40
1 0.325
2 0.289
3 0.277
4 0.271
5 0.267
6 0.265
7 0.263
8 0.262
9 0.261
10 0.260
11 0.260
12 0.259
13 0.259
14 0.258
15 0.258
16 0.258
17 0.257
18 0.257
19 0.257
20 0.257
21 0.257
22 0.256
23 0.256
24 0.256
25 0.256
26 0.256
27 0.256
28 0.256
29 0.256
30 0.256
31 0.256
32 0.255
33 0.255
34 0.255
35 0.255
36 0.255
37 0.255
38 0.255
39 0.255
40 0.255
60 0.254
80 0.254
100 0.254
120 0.254
140 0.254
160 0.254
180 0.254
200 0.254
250 0.254
inf 0.253
Column headings denote probabilities (a) above tabulated values.
0.25
1.000
0.816
0.765
0.741
0.727
0.718
0.711
0.706
0.703
0.700
0.697
0.695
0.694
0.692
0.691
0.690
0.689
0.688
0.688
0.687
0.686
0.686
0.685
0.685
0.684
0.684
0.684
0.683
0.683
0.683
0.682
0.682
0.682
0.682
0.682
0.681
0.681
0.681
0.681
0.681
0.679
0.678
0.677
0.677
0.676
0.676
0.676
0.676
0.675
0.674
0.10
3.078
1.886
1.638
1.533
1.476
1.440
1.415
1.397
1.383
1.372
1.363
1.356
1.350
1.345
1.341
1.337
1.333
1.330
1.328
1.325
1.323
1.321
1.319
1.318
1.316
1.315
1.314
1.313
1.311
1.310
1.309
1.309
1.308
1.307
1.306
1.306
1.305
1.304
1.304
1.303
1.296
1.292
1.290
1.289
1.288
1.287
1.286
1.286
1.285
1.282
0.05
6.314
2.920
2.353
2.132
2.015
1.943
1.895
1.860
1.833
1.812
1.796
1.782
1.771
1.761
1.753
1.746
1.740
1.734
1.729
1.725
1.721
1.717
1.714
1.711
1.708
1.706
1.703
1.701
1.699
1.697
1.696
1.694
1.692
1.691
1.690
1.688
1.687
1.686
1.685
1.684
1.671
1.664
1.660
1.658
1.656
1.654
1.653
1.653
1.651
1.645
0.04
7.916
3.320
2.605
2.333
2.191
2.104
2.046
2.004
1.973
1.948
1.928
1.912
1.899
1.887
1.878
1.869
1.862
1.855
1.850
1.844
1.840
1.835
1.832
1.828
1.825
1.822
1.819
1.817
1.814
1.812
1.810
1.808
1.806
1.805
1.803
1.802
1.800
1.799
1.798
1.796
1.781
1.773
1.769
1.766
1.763
1.762
1.761
1.760
1.758
1.751
0.025
12.706
4.303
3.182
2.776
2.571
2.447
2.365
2.306
2.262
2.228
2.201
2.179
2.160
2.145
2.131
2.120
2.110
2.101
2.093
2.086
2.080
2.074
2.069
2.064
2.060
2.056
2.052
2.048
2.045
2.042
2.040
2.037
2.035
2.032
2.030
2.028
2.026
2.024
2.023
2.021
2.000
1.990
1.984
1.980
1.977
1.975
1.973
1.972
1.969
1.960
0.02
15.894
4.849
3.482
2.999
2.757
2.612
2.517
2.449
2.398
2.359
2.328
2.303
2.282
2.264
2.249
2.235
2.224
2.214
2.205
2.197
2.189
2.183
2.177
2.172
2.167
2.162
2.158
2.154
2.150
2.147
2.144
2.141
2.138
2.136
2.133
2.131
2.129
2.127
2.125
2.123
2.099
2.088
2.081
2.076
2.073
2.071
2.069
2.067
2.065
2.054
0.01
31.821
6.965
4.541
3.747
3.365
3.143
2.998
2.896
2.821
2.764
2.718
2.681
2.650
2.624
2.602
2.583
2.567
2.552
2.539
2.528
2.518
2.508
2.500
2.492
2.485
2.479
2.473
2.467
2.462
2.457
2.453
2.449
2.445
2.441
2.438
2.434
2.431
2.429
2.426
2.423
2.390
2.374
2.364
2.358
2.353
2.350
2.347
2.345
2.341
2.326
0.005 0.0025 0.001 0.0005
63.656 127.321 318.289 636.578
9.925 14.089 22.328 31.600
5.841 7.453 10.214 12.924
4.604 5.598 7.173 8.610
4.032 4.773 5.894 6.869
3.707 4.317 5.208 5.959
3.499 4.029 4.785 5.408
3.355 3.833 4.501 5.041
3.250 3.690 4.297 4.781
3.169 3.581 4.144 4.587
3.106 3.497 4.025 4.437
3.055 3.428 3.930 4.318
3.012 3.372 3.852 4.221
2.977 3.326 3.787 4.140
2.947 3.286 3.733 4.073
2.921 3.252 3.686 4.015
2.898 3.222 3.646 3.965
2.878 3.197 3.610 3.922
2.861 3.174 3.579 3.883
2.845 3.153 3.552 3.850
2.831 3.135 3.527 3.819
2.819 3.119 3.505 3.792
2.807 3.104 3.485 3.768
2.797 3.091 3.467 3.745
2.787 3.078 3.450 3.725
2.779 3.067 3.435 3.707
2.771 3.057 3.421 3.689
2.763 3.047 3.408 3.674
2.756 3.038 3.396 3.660
2.750 3.030 3.385 3.646
2.744 3.022 3.375 3.633
2.738 3.015 3.365 3.622
2.733 3.008 3.356 3.611
2.728 3.002 3.348 3.601
2.724 2.996 3.340 3.591
2.719 2.990 3.333 3.582
2.715 2.985 3.326 3.574
2.712 2.980 3.319 3.566
2.708 2.976 3.313 3.558
2.704 2.971 3.307 3.551
2.660 2.915 3.232 3.460
2.639 2.887 3.195 3.416
2.626 2.871 3.174 3.390
2.617 2.860 3.160 3.373
2.611 2.852 3.149 3.361
2.607 2.847 3.142 3.352
2.603 2.842 3.136 3.345
2.601 · 2.838 3.131 3.340
2.596 2.832 3.123 3.330
2.576 2.807 3.090 3.290

2 Pages 11-20

▲back to top


2.1 Page 11

▲back to top


APPENDIX E: The Chi-Square Distribution
Page7 of7