AGS520S - AGRICULTURAL STATISTICS - 1ST OPP - NOVEMBER 2024


AGS520S - AGRICULTURAL STATISTICS - 1ST OPP - NOVEMBER 2024



1 Pages 1-10

▲back to top


1.1 Page 1

▲back to top


f
nAm I BI A UnlVE RSITY
OF SCIEnCE AnDTECHnOLOGY
FacultyofHealthN, atural
ResourceasndApplied
Sciences
Schoool f NaturalandApplied
Sciences
Departmentof Mathematics,
StatisticsandActuarialScience
13JacksonKaujeuaStreet
Private Bag13388
Windhoek
NAMIBIA
T: +26461207 2913
E: msas@nust.na
W: www.nust.nu
QUALIFICATION : BACHELOROF AGRICULTURALMANAGEMENT, BACHELOROF
HORTICULTURE
QUALIFICATION CODE: 07BAGR, 07BHOR
LEVEL: 5
COURSE:AGRICULTURAL STATISTICS
DATE: NOVEMBER 2024
COURSECODE: AGS520S
SESSION: 1
DURATION: 3 HOURS
MARKS: 100
EXAMINER:
MODERATOR:
FIRST OPPORTUNITY: QUESTION PAPER
Mr. Jonas Amunyela, Mr. Polykarp Amukuhu
Mr. Andrew Roux
INSTRUCTIONS:
1. Answer all questions on the separate answer sheet.
2. Please write neatly and legibly.
3. Do not use the left side margin of the exam paper. This must be allowed for the
examiner.
4. No books, notes and other additional aids are allowed.
5. Mark all answers clearly with their respective question numbers.
PERMISSIBLE MATERIALS:
1. Non-Programmable Calculator
ATTACHEMENTS
1. Z Table
2. T- distribution table
3. Chi-square table
This paper consists of 8 pages including this front page

1.2 Page 2

▲back to top


SECTION A
QUESTION 1
[24 marks]
Write down the letter corresponding to your choice next to the question number.
1.1. A sample of a population is
A. An experiment in the population
B. A subset of the population
C
A variable in the population
D
An outcome of the population
[2]
E. A sample point in the population
1.2. Which of the following is true about the normal distribution?
A. Mean is greater than the mode
B. Median is zero
C.
Mode is below the mean
D. all measures of the central tendency are equal
E. all measures of dispersions are equal
[2]
1.3. If Xis a random variable that represent the number of animals dying due to Food
and Mouth disease per month in Ohangwena region, then X is said to be a ---
A. Frequency
B. Binomial random variable
C. Mean deviation
D. Normal distribution
[2]
E. Poisson random variable
Course Name (AGS520S)
1st opportunity November 2024
2

1.3 Page 3

▲back to top


1.4. Fill in the missing words to the quote "Statistical methods may be described as
methods for drawing conclusions about ______
based on___
computed
from the ______
"
A. Statistics, samples, populations
B. Populations, parameters, samples
C. Statistics, parameters, samples
D. Parameters, statistics, populations
E. Populations, statistics, samples
[2]
1.5 Which of the following is not an example of qualitative data
[2]
A. Soil type
B. Seed categories
C. Types of seasons
D. Crop variety
E. The weight of Mahangu grains
1.6 _____
consists of methods for drawing and measuring the reliability of
conclusions about population based on information obtained from a sample of the
population.
[2]
A. Probability statistics
B. Descriptive statistics
C. Inferential statistics
D. Sample statistics
E. none
1.7 Qualitative variables can be classified as:
[2]
A. Discrete or continuous
B. Nominal or interval scale
C. Normal distribution or nominal
D. Ordinal or ratio scale
E. Ordinal or Nominal scale
Course Name (AGS520S)
1st Opportunity November 2024
3

1.4 Page 4

▲back to top


= 1.8 If the P(A) 0, this means
[2]
A. The event A is certainly going to occur
B. The event is unlikely to occur
C. Second quartile
D. ranked data
E. none
1.9 If P(A) = 0.6, P(B/A) = 0.42, then P(A n B) =?
[2]
A. impossible
B. 0.580
C. 0.400
D. 0.252
E. 0.360
1.10 The following are all properties of the Chi-squared distribution except:
[2]
A. It is a positively skewed distribution
B. the values are always positive
C. can be used under the conditions with relatively small sample size
D. non-symmetric distribution
E.
It is a negatively skewed distribution
1.11 A random sample of nine observations from a population containing 79 elements
was taken, and the following values were obtained. The point estimate for the mean
is: 14, 23,10,20,24,25,17,18, 11
[2]
A. 19.25
B. 3.77
C. 18
D. 24
E. None -
Course Name (AGS520S)
1st opportunity November 2024
4

1.5 Page 5

▲back to top


= = = 1.12 If H0 : µ 12 and H1 : µ -=t=12, n 29, s 6 the decision rule for this hypothesis
testing is:
[2]
A. reject H0 if t~, n - 1 Zeal or if teal -t~, n - 1
2
2
B. reject H0 if teal t~, n - 1 or if teal -t~, n - 1
2
2
C. reject H0 if Z~ Zerit or Z~ -Zerit
2
2
D. reject Ho if Xtrit X1tat
E. all the above
Course Name (AGS520S)
l510pportunity November 2024
5

1.6 Page 6

▲back to top


SECTION B (Clearly show all your work)
Question 2
(32 marks)
2.1 The body length of 20 pigs were recorded (in cm) in Omaheke region. Below is the
dataset for data:
140 133 135 127 147 154 173 155 131 174
151 136 129 120 128 162 143 133 137 129
2.1.1 Determine the range for the rainfall data.
[2]
2.1.2
Group the data into a grouped frequency distribution with a lowest class lower limit
of 120 mm and a class width of 10 mm. (NB include class, frequency and relative
frequency)
[5]
2.1.3 What percentage of the rain fall was received between 120 mm to less than 130?
[1]
2.2 Juice is among the highest vitamin C containing beverage available in terms of
quantity. The following table presents the distribution of vitamin C per 100 ml that
was measured from 27 Apple juice.
Nitrates contents
(in grams)
0-<5
5-<10
10-<15
15-<20
20-<25
Frequency
2
3
9
7
6
2.2.1 Estimate the average vitamin C in the Apple juice
[3]
2.2.2 Estimate the median for vitamin C in the Apple juice
[3]
2.2.3 Estimate the mode for vitamin C in the Apple juice
[3]
2.2.4 Estimate the variance and the standard deviation of vitamin C in the Apple juice [4]
2.2.5 Sketch the Lessthan Ogive of vitamin C in the Apple juice
[4]
Course Name (AGS520S)
1st Opportunity November 2024
6

1.7 Page 7

▲back to top


2.3 Let X be a random variable with the following probability distribution.
lo.~lo3.3
2.3.1 Determine the expected value and variance of the random variable.
[5]
2.3.2 Determine the P(X < 3)
[2]
Question 3
(32 marks)
3.1 It is assumed that a sampling error of no more than ±5 is desired along with 95%
confidence to determine a sample size appropriate to estimate the mean weights of
Ostrich eggs. Past data indicated that the standard deviations of the weight have
been approximately 20Kg for substantial period.
Calculate the sample size needed
[3]
3.2 You sample 34 carrots from your farm's harvest of over 500 000 carrots. The mean
weight of the sample is 100 grams. The population standard deviation and mean are
30 grams and 115 grams respectively. What is the probability that the mean weight
of carrots is less than 100 grams?
[3]
3.3 During July 2024, tomatoes yield figures (in tons) were recorded over 11 farms
around Tsumeb.
Farm
A BC D E F G H I J K
Tomato yield 35 21 33 24 30 36 27 39 25 26 28
(ton)
3.3.1. Is this a T-statistic or a Z statistic, and why?
[2]
3.3.2 Construct a 99% confidence interval to estimate the true mean tomato yield in
Tsumeb.
[6]
3.3.3 At the 5% level of significance test the hypothesis that the mean tomato yield
around Tsumeb is below 30 tons.
[6]
3.4 The variance protein content (in mg) of a random sample of 10 bags of beans was
found to be 0.67 mg.
3.4.1 Estimate the variance for protein content of the entire population of beans with a
95% degree of confidence.
[6]
Course Name (AGS520S)
l51 Opportunity November 2024
7

1.8 Page 8

▲back to top


3.4.2 Can we conclude that the population protein variance for the beans is less than 1.05
mg? use a = 0.05
[6]
Question 4
(12 marks)
4.1 The specific activity of two fractions (Sand D) of succinic dehydrogenase is
measured. The following readings are obtained (units: mg- 1 protein)
Do the means of the two populations from which the samples were taken differ
significantly?
4.1.1 State the null and alternative hypotheses you would use to test the hypothesis [2]
4.1.2 Is this a two tail or single tail hypothesis
[1]
4.1.3 State the decision rule and find the critical value at a = 0.05
[4]
4.1.4 Write down the appropriate formula for the test statistics and calculate the value of
the test statistic?
[3]
4.1.5 What is your decision and conclusion?
[2]
************ ****************END OF QUESTION PAPER**************************
Course Name (AGS520S)
1'1 Opportunity November 2024
8

1.9 Page 9

▲back to top


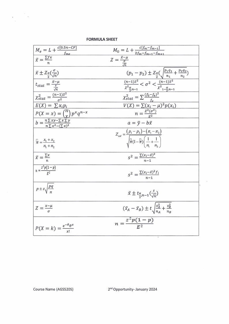
FORMULASHEET
+ Me = L c[O.Sn-CF]
{-,-no
x-=-
"fJx
n
x + Zi(~)
x-µ
tstat = -s-
.[ii.
(n-l)S 2
x2stat -- az
E(X) = L XiPi
P(X = x) = (:) pxqn-x
b=
nixy-Ixiy
n L xZ-()' x)Z
R,= X1+x2
n1+n2
x-=-
Ix
n
z2p(l - p)
n= £2
+ Mo = L
c[fm-fm-1]
Z=-a-x-µ
2f-m-f-m .,-fm-"-1
Jn
(P1 - Pz) + z~cJp:+qpl~2)q
2
1
2
< < (n-l)S 2
z
(n-l)S 2
xza
7
,n-1
(j
xz 1- 7a,n-1
x2stat _-
I
cta-te)2
fp
V(X) = I(xi - µ) 2 p(xa
n=--
z2(a2)
R2
a= y- bx
z = (Pi - P2)-(1r1 -n2)
' (1 I) cal
R-o-R--+)-
\\
n1 n1
2 sz = Hx1-x)
n-1
s2
=
I(x1-x)2f 1
n-1
p±z~
Z=-
x-µ
a
P(X = k) = e-00x
x!
X + ti,n-1 (Jn)
(xA -
Xa)
+
t~
's.z..Ll.+sz-1!.
nA nB
z 2 p(1- p)
·n=
£2
Course Name (AGS520S)
2nd Opportunity- January 2024

1.10 Page 10

▲back to top


TABLE of CRITICAL VALUES for STUDENT'S t DISTRIBUTIONS
Column headings denote probabilities (a) above tabulated values.
d.f. 0.40 0.25 0.10 0.05 0.04 0.025 0.02 0.01 0.005 0.0025 0.001 0.0005
1 0.325 1.000 3.078 6.314 7.916 12.706 15.894 31.821 63.656 127.321 318.289 636.578
2 0.289 0.816 1.886 2.920 3.320 4.303 4.849 6.965 9.925 14.089 22.328 31.600
3 0.277 0.765 1.638 2.353 2.605 3.182 3.482 4.541 5.841 7.453 10.214 12.924
4 0.271 0.741 1.533 2.132 2.333 2.776 2.999 3.747 4.604 5.598 7.173 8.610
5 0.267 0.727 1.476 2.015 2.191 2.571 2.757 3.365 4.032 4.773 5.894 6.869
6 0.265 0.718 1.440 1.943 2.104 2.447 2.612 3.143 3.707 4.317 5.208 5.959
7 0.263 0.711 1.415 1.895 2.046 2.365 2.517 2.998 3.499 4.029 4.785 5.408
8 0.262 0.706 1.397 1.860 2.004 2.306 2.449 2.896 3.355 3.833 4.501 5.041
9 0.261 0.703 1.383 1.833 1.973 2.262 2.398 2.821 3.250 3.690 4.297 4.781
10 0.260 0.700 1.372 1.812 1.948 2.228 2.359 2.764 3.169 3.581 4.144 4.587
11 0.260 0.697 1.363 1.796 1.928 2.201 2.328 2.718 3.106 3.497 4.025 4.437
12 0.259 0.695 1.356 1.782 1.912 2.179 2.303 2.681 3.055 3.428 3.930 4.318
13 0.259 0.694 1.350 1.771 1.899 2.160 2.282 2.650 3.012 3.372 3.852 4.221
14 0.258 0.692 1.345 1.761 1.887 2.145 2.264 2.624 2.977 3.326 3.787 4.140
15 0.258 0.691 1.341 1.753 1.878 2.131 2.249 2.602 2.947 3.286 3.733 4.073
16 0.258 0.690 1.337 1.746 1.869 2.120 2.235 2.583 2.921 3.252 3.686 4.015
17 0.257 0.689 1.333 1.740 1.862 2.110 2.224 2.567 2.898 3.222 3.646 3.965
18 0.257 0.688 1.330 1.734 1.855 2.101 2.214 2.552 2.878 3.197 3.610 3.922
19 0257 0.688 1.328 1.729 1.850 2.093 2.205 2.539 2.861 3.174 3.579 3.883
20 0.257 0.687 1.325 1.725 1.844 2.086 2.197 2.528 2.845 3.153 3.552 3.850
21 0.257 0.686 1.323 1.721 1.840 2.080 2.189 2.518 2.831 3.135 3.527 3.819
22 0.256 0.686 1.321 1.717 1.835 2.074 2.183 2.508 2.819 3.119 3.505 3.792
23 0.256 0.685 1.319 1.714 1.832 2.069 2.177 2.500 2.807 3.104 3.485 3.768
24 0.256 0.685 1.318 1.711 1.828 2.064 2.172 2.492 2.797 3.091 3.467 3.745
25 0.256 0.684 1.316 1.708 1.825 2.060 2.167 2.485 2.787 3.078 3.450 3.725
26 0.256 0.684 1.315 1.706 1.822 2.056 2.162 2.479 2.779 3.067 3.435 3.707
27 0.256 0.684 1.314 1.703 1.819 2.052 2.158 2.473 2.771 3.057 3.421 3.689
28 0.256 0.683 1.313 1.701 1.817 2.048 2.154 2.467 2.763 3.047 3.408 3.674
29 0.256 0.683 1.311 1.699 1.814 2.045 2.150 2.462 2.756 3.038 3.396 3.660
30 0.256 0.683 1.310 1.697 1.812 2.042 2.147 2.457 2.750 3.030 3.385 3.646
31 0.256 0.682 1.309 1.696 1.810 2.040 2.144 2.453 2.744 3.022 3.375 3.633
32 0.255 0.682 1.309 1.694 1.808 2.037 2.141 2.449 2.738 3.015 3.365 3.622
33 0.255 0.682 1.308 1.692 1.806 2.035 2.138 2.445 2.733 3.008 3.356 3.611
34 0.255 0.682 1.307 1.691 1.805 2.032 2.136 2.441 2.728 3.002 3.348 3.601
35 0.255 0.682 1.306 1.690 1.803 2.030 2.133 2.438 2.724 2.996 3.340 3.591
36 0.255 0.681 1.306 1.688 1.802 2.028 2.131 2.434 2.719 2.990 3.333 3.582
37 0.255 0.681 1.305 1.687 1.800 2.026 2.129 2.431 2.715 2.985 3.326 3.574
38 0.255 0.681 1.304 1.686 1.799 2.024 2.127 2.429 2.712 2.980 3.319 3.566
39 0.255 0.681 1.304 1.685 1.798 2.023 2.125 2.426 2.708 2.976 3.313 3.558
40 0.255 0.681 1.303 1.684 1.796 2.021 2.123 2.423 2.704 2.971 3.307 3.551
60 0.254 0.679 1.296 1.671 1.781 2.000 2.099 2.390 2.660 2.915 3.232 3.460
80 0.254 0.678 1.292 1.664 1.773 1.990 2.088 2.374 2.639 2.887 3.195 3.416
100 0.254 0.677 1.290 1.660 1.769 1.984 2.081 2.364 2,626 2.871 3.174 3.390
120 0.254 0.677 1.289 1.658 1.766 1.980 2.076 2.358 2.617 2.860 3.160 3.373
140 0.254 0.676 1.288 1.656 1.763 1.977 2.073 2.353 2.611 2.852 3.149 3.361
160 0.254 0.676 1.287 1.654 1.762 1.975 2.071 2.350 2.607 2.847 3.142 3.352
180 0.254 0.676 1.286 1.653 1.761 1.973 2.069 2.347 2.603 2.842 3.136 3.345
200 0.254 0.676 1.286 1.653 1.760 1.972 2.067 2.345 2.601 · 2.838 3.131 3.340
250 0.254 0.675 1.285 1.651 1.758 1.969 2.065 2.341 2.596 2.832 3.123 3.330
inf 0.253 0.674 1.282 1.645 1.751 1.960 2.054 2.326 2.576 2.807 3.090 3.290

2 Pages 11-20

▲back to top


2.1 Page 11

▲back to top


Cumulative probabilities for POSITIVE z-values are shown below.
z
0.0
0.1
0.2
I 0.3
I 0.4
0.5
0.6
0.7
I 0.8
0.9
1.0
t 1.1
I 1.2
'
1.3
1.4
1.5
1.6
1.7
1.8
1.9
2.0
2.1
2.2
2.3
2.4
I 2.5
2.6
2.7
I 2.8
I 2.9
3.0
3.1
3.2
3.3
3.4
.00
.5000
.5398
.5793
.6179
.6554
.6915
.7257
.7580
.7881
.8159
.8413
.8643
.8849
.9032
.9192
.9332
.9452
.9554
.9641
.9713
.9772
.9821
.9861
.9893
.9918
.9938
.9953
.9965
.9974
.9981
.9987
.9990
.9993
.9995
.9997
.01
.5040
.5438
.5832
.6217
.6591
.6950
.7291
_75·11
.7910
.8186
.8438
.8665
.8869
.9049
.9207
.9345
.9463
.9564
.9649
.9719
.9778
.9826
.9864
.9896
.9920
.9940
.9955
.9966
.9975
.9982
.9987
.9991
.9993
.9995
.9997
.02
.5080
.5478
.5871
.6255
.6628
.6985
.7324
.7642
.7939
.8212
.8461
.8686
.8888
.9066
.9222
.9357
.9474
.9573
.9656
.9726
.9783
.9830
.9868
.9898
.9922
.9941
.9956
.9967
.9976
.9982
.9987
.9991
.9994
.9995
.9997
.03
.5120
.5517
.5910
.6293
.6664
.7019
.7357
.7673
.7967
.8238
.8485
.8708
.8907
.9082
.9236
.9370
.9484
.9582
.9664
.9732
.9788
.9834
.9871
.9901
.9925
.9943
.9957
.9968
.9977
.9983
.9988
.9991
.9994
.9996
.9997
.04
.5160
.5557
.5948
.6331
.6700
.7054
.7389
.7704
.7995
.8264
.8508
.8729
.8925
.9099
.9251
.9382
.9495
.9591
_957·1
.9738
.9793
.9838
.9875
.9904
.9927
.9945
.9959
.9969
.9977
.9984 I
.9988
.9992
.9994
.9996
.9997
.05
.5199
.5596
.5987
.6368
.6736
.7088
.7422
.7734
.8023
.8289
.8531
.8749
.8944
.9115
.9265
.9394
.9505
.9599
.9678
.9744
.9798
.9842
.9878
.9906
.9929
.9946
.9960
.9970
.9978
.9984
.9989
.9992
.9994
.9996
.9997
.06
.5239
.5636
.6026
.6406
.6772
.7123
.7454
.7764
.8051
.8315
.8554
.8770
.8962
.9131
.9279
.9406
.9515
.9608
.9686
.9750
.9803
.9846
.9881
.9909
.9931
.9948
.9961
.9971
.9979
.9985
.9989
.9992
.9994
.9996
.9997
.07
.5279
.5675
.6064
.6443
.6808
.7"157
.7486
.7794
.8078
.8340
.8577
.8790
.8980
.9147
.9292
_94·18
.9525
.9616
.9693
.9756
.9808
.9850
.9884
.9911
.9932
.9949
.9962
.9972
.9979
.9985
.9989
.9992
.9995
.9996
.9997
.08
.5319
_57·14
.6103
.6480
.6844
.7190
.7517
.7823
.8106
.8365
.8599
.8810
.8997
.9162
.9306
.9429
.9535
.9625
.9699
.9761
.9812
.9854
.9887
.9913
.9934
.9951
.9963
.9973
.9980
.9986
.9990
.9993
.9995
.9996
.9997
.09
.5359
.5753
.6141
.6517
.6879
.7224
.7549
.7852
.8133
.8389
.8621
.8830
.9015
.9177
.9319
.9441
.9545
.9633
.9706
.9767
.9817
.9857
.9890
.9916
.9936
.9952
.9964
.9974
.9981
.9986
.9990
.9993
.9995
.9997
.9998