ACM801S - ADVANCE CONTRACT MANAGEMENT - 2ND OPP JULY 2025


ACM801S - ADVANCE CONTRACT MANAGEMENT - 2ND OPP JULY 2025



1 Page 1

▲back to top


nAmlBIA unlVERSITY
OF SCIEnCE Ano TECHnOLOGY
FACULTY OF COMMERCE, HUMAN SCIENCESAND EDUCATION
DEPARTMENT OF MARKETING, LOGISTICSAND SPORT MANAGEMENT
QUALIFICATION: POSTGRADUATE DIPLOMA: PROCUREMENT MANAGEMENT
QUALIFICATION CODE: 08PDPM
COURSE CODE: ACM801S
LEVEL: 8
COURSE NAME: ADVANCE CONTRACT MANAGEMENT
SESSION: JUNE 2025
PAPER: THEORY
DURATION: 3 HOURS
MARKS: 100
SECOND OPPORTUNITY MEMORANDUM PAPER
EXAMINER(S) Mr. Linus Hamukoto
MODERATOR: Ms. Ester Hamukwaya
INSTRUCTIONS
1. Answer ALL the questions.
2. Write clearly.and neatly.
3. Number your answers clearly.
THIS QUESTION PAPER CONSISTS OF 9 PAGES {Including this front page)
1

2 Page 2

▲back to top


SECTION A: FILL-IN QUESTIONS
QUESTION 1 (40 MARKS)
Below are 20 statements. Each has a missing term represented by a blank space. Write
down or identify the correct missing word. Each correct answer is equivalent to 2 marks.
1.1. A dispute resolution process where an independent third party is appointed to render
a swift, temporary judgment is known as ___ _
1.2. When parties agree in writing to settle disputes privately and outside the courts by
referring them to a neutral arbitrator, it is termed ___ _
1.3. Legal solutions available to aggrieved parties after a contract breach, such as damages
or specific performance, are known as ___ _
1.4. Offering or receiving anything of value to improperly influence another party's actions
is known as a ___ _
1.5. When a false statement is made knowingly or recklessly with intent to deceive, it is
referred to as ___ _
1.6. A legally binding agreement between two or more parties that satisfies all legal
elements is a ___ _
1.7. A contract must involve a clear and definite proposal known as an ___ _
1.8. For a contract to be valid, all parties must have the legal ____
to enter a contract.
1.9. The terms of the contract must be sufficiently ____
so that the obligations of each
party can be understood.
1.10. If either party lacks ____
such as being a minor or mentally incapacitated, the
contract may not be enforceable.
1.11. The seller's right that ensures they can offer goods or services to potential buyers is
known as the ____
_
1.12. When a contract grants a party sole rights over being the only purchaser or seller, it is
called the ____
_
1.13. In commercial negotiations, the primary aim is to reach an _____
between the
parties.
1.14. A party that lacks _____
a binding agreement.
in a contract may not have the legal ability to enter into
2

3 Page 3

▲back to top


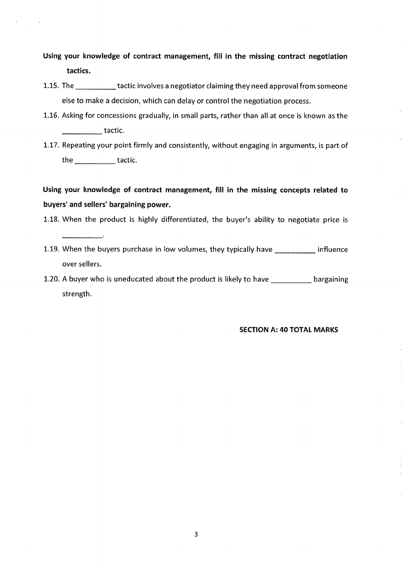
Using your knowledge of contract management, fill in the missing contract negotiation
tactics.
1.15. The _____
tactic involves a negotiator claiming they need approval from someone
else to make a decision, which can delay or control the negotiation process.
1.16. Asking for concessions gradually, in small parts, rather than all at once is known as the
_____
tactic.
1.17. Repeating your point firmly and consistently, without engaging in arguments, is part of
the _____
tactic.
Using your knowledge of contract management, fill in the missing concepts related to
buyers' and sellers' bargaining power.
1.18. When the product is highly differentiated, the buyer's ability to negotiate price is
1.19. When the buyers purchase in low volumes, they typically have _____
over sellers.
1.20. A buyer who is uneducated about the product is likely to have _____
strength.
influence
bargaining
SECTION A: 40 TOTAL MARKS
3

4 Page 4

▲back to top


SECTION B: STRUCTURED QUESTIONS
QUESTION 2 {20 MARKS)
In procurement, a contract is more than just the signed agreement between the procuring
entity and the supplier or contractor. It comprises a comprehensive document set that
collectively defines both parties' rights, responsibilities, deliverables, and expectations.
2.1 Apart from the contract agreement itself, what other documents should be included in
the content of a procurement contract arising from a public procurement process?
{6 Marks)
2.2 Using your knowledge of the relationship spectrum, indicate in the table below the
relationships corresponding to the descriptions as provided for under the relationship
spectrum?
{14 marks)
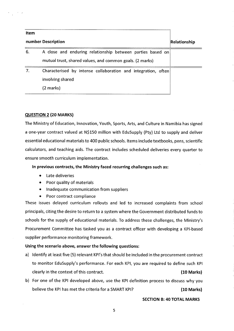
Item
number Description
Relationship
1
Parties maintain a formal and distant association characterised by
minimal interaction and limited cooperation.
(2 marks)
2.
Involves frequent interactions and collaboration focused on
achieving short-term objectives.
(2 marks)
3.
One party exclusively selects and relies on a single supplier or
provider for a particular product or service. (2 marks)
4.
Contracting out specific functions or processes to external vendors
or service providers.
(2 marks)
5.
A collaborative relationship between organisations aimed at
achieving mutual strategic objectives.
(2 marks}
4

5 Page 5

▲back to top


Item
number Description
Relationship
6.
A close and enduring relationship between parties based on
mutual trust, shared values, and common goals. (2 marks)
7.
Characterised by intense collaboration and integration, often
involving shared
(2 marks)
QUESTION 2 {20 MARKS)
The Ministry of Education, Innovation, Youth, Sports, Arts, and Culture in Namibia has signed
a one-year contract valued at N$150 million with EduSupply (Pty) Ltd to supply and deliver
essential educational materials to 400 public schools. Items include textbooks, pens, scientific
calculators, and teaching aids. The contract includes scheduled deliveries every quarter to
ensure smooth curriculum implementation.
In previous contracts, the Ministry faced recurring challenges such as:
• Late deliveries
• Poor quality of materials
• Inadequate communication from suppliers
• Poor contract compliance
These issues delayed curriculum rollouts and led to increased complaints from school
principals, citing the desire to return to a system where the Government distributed funds to
schools for the supply of educational materials. To address these challenges, the Ministry's
Procurement Committee has tasked you as a contract officer with developing a l<Pl-based
supplier performance monitoring framework.
Using the scenario above, answer the following questions:
a) Identify at least five (5) relevant l<Pl'sthat should be included in the procurement contract
to monitor EduSupply's performance. For each l<PI,you are required to define such l<PI
clearly in the context of this contract.
{10 Marks)
b) For one of the l<PIdeveloped above, use the l<PIdefinition process to discuss why you
believe the KPI has met the criteria for a SMART KPI?
{10 Marks)
SECTION B: 40 TOTAL MARKS
5

6 Page 6

▲back to top


SECTION C: STRUCTURED QUESTIONS
QUESTION 5 (20 MARKS)
The Ministry of Health and Social Services in Namibia plans to sign a two-year contract with
HealthMed Supplies Ltd, a regional supplier of medical equipment and PPEs (Personal
Protective Equipment). The objective is to ensure a stable and consistent supply of high-
quality medical goods to all public hospitals and clinics nationwide.
The procurement team, led by the Chief Procurement Officer, is tasked with negotiating the
contract terms with HealthMed Supplies Ltd. These negotiations must address several key
areas, including price, delivery schedules, quality standards, penalties for non-performance,
and dispute resolution.
The Ministry intends to follow the seven standard contract negotiation stages as part of the
negotiation process.
Using the scenario above, briefly discuss each of the seven contract negotiation stages. For
each stage, explain how the Ministry of Health should negotiate with Health Med Supplies Ltd
to ensure value for money and protection of public interest?
(20 Marks)
SECTION C: 20 TOTAL MARKS
TOTAL MARKS:100
ALL THE BEST
6